An VWLer oder Wirtschaftswissenschaftler - Habe Verständnisprobleme!

porn()pole

Commodore
Registriert
Mai 2002
Beiträge
5.064
Servus Folks,

Ich versuche mir gerade, VWL reinzupauken, genauer gesagt gehts um Mikroökonomie. Sowohl meine Mitschriebe als auch das Skript sowie ein Lehrbuch können mir nicht so recht weiterhelfen, da es sich eher um mathematische Problemchen handelt!

Folgendes:

1) Was genau ist ein totales Differential einer Nutzenfunktion? Wie es aussieht, weiss ich, aber den genauen Sinn und die Berechnung verschliessen sich mir...

2)Die Substitutionselastizität gibt mir auch Rätsel auf... dieses verfluchte "d"... ist das jetzt die Differenz oder die Ableitung? Wie handhabe ich das? Kann ich das einfach rauskürzen?

Danke schonmal im Voraus...
 

Anhänge

  • Grafik1.jpg
    Grafik1.jpg
    44,3 KB · Aufrufe: 1.031
  • Grafik2.jpg
    Grafik2.jpg
    52,8 KB · Aufrufe: 981
mein mikroschein liegt zwar schon über ein jahr zurück aber ich kanns ja mal versuchen. die ableitung einer nutzenfunktion ist einfach der grenznutzen. bist wohl grade bei der haushaltstheorie :)
ich kann deinen anhang leider nicht ansehen, bekomme dann immer ein rotes x in der ecke oben links angezeigt :/

ach ja, substitutionselastizität...wenn du ein gut durch das andere substituierst, dürfte die elastizität aussagen wie sehr sich das andere gut verändert welches du nicht substituierst. so ist zumindest die logik bei der preiselastizität.
 
Zuletzt bearbeitet:
Dein Versuch in allen Ehren, aber wenn du dir nochmal meinen Post durchliest (speziell die Fragen ;)), dann wirste merken, dass ich mit deinen Antworten nix anfangen kann...

Das die Ableitung der Nutzenfunktion nach einem Gut der Grenznutzen ist, weiss ich auch... aber das TOTALE Differenzial sieht ja so aus:

dU=U'(q1) x dq1 + U'(q2) x dq2

Was soll dieses verf***** "d" darstellen? Ich dreh echt am Rad... ich schreibe am 12.Februar die Klausur meines Lebens und ich check noch nichtmal die Grundlagen! :freak:
 
Wie soll man das den bitte verstehn? Sind da nicht irgendwo mal die Buchstaben erklärt? Also ich habe mir grad mal die Blätter angeschaut ( musst eben "speichern unter")...aber ey son Dreck.

Sorry Porno,aber das kann ja echt kein Mensch verstehn.
Bitte keine Pn's...poste das nochmal hier^^Will das auch verstehn... :)
 
Schreibs ruhig hier rein... vielleicht interessierts ja sonst noch jemanden! Außerdem schaltet sich dann evtl. noch mehr Hilfe ein! :)

Wenn d einfach nur das Zeichen für Ableitung ist, dann ergibt

dU=U' (q1) x dq1 + U'(q2) x dq2

nicht wirklich Sinn, denn U' (U "strich") steht ja schon für die Ableitung der Funktion U nach dem jeweiligem q in der Klammer...

und Ableitung x Ableitung ist doch nicht wirklich das, was es sein soll... versuch mal, ob du irgendwie die Anhänge doch lesen kannst, dann weisste, was ich meine!


EDIT: Man muss tatsächlich "Grafik speichern unter..." machen! thx @ shiro

Erklärung der Buchstaben: U ist eine Nutzenfunktion, q1 und q2 sind Güter (Seife, CDs, Kondome, Benzin, Joghurt... usw.)

Die Nutzenfunktion ist quasi eine konvexe Funktion im Diagramm (x-Achse ist q1, y-Achse ist q2) und auf dieser Nutzenfunktion liegen alle möglichen Kombinationen von q1 und q2, die dir die selbe Befriedigung verschaffen...

Wenn du also q1 als Kondome deklarierst und q2 als Zigaretten, so kannste zB sagen: "Wenn ich 3 Kondome habe und 4 Kippen, bin ich genauso glücklich, wie wenn ich 1 Kondom hab und dafür 10 Kippen, oder 5 Kondome und 1 Kippe oder so...."
 
Zuletzt bearbeitet:
also, kann mir die blätter nun ansehen...

U= nutzen
q1=gut 1
q2=gut 2 (für shiro)

das ist wirklich nur die schreibweise. du kannst nutzen nicht ableiten ohne das dazugehörige gut.
U´ alleine heisst zwar abgeleiteter nutzen aber wonach? nutzen muss nach gut abgeleitet werden. und die schreibweise lautet dann eben "dq1" resp. 2.

i.d.R hast du die nutzenmaximierungsfuntion und eine nebenbedingung. daraus baust du dann eine lagrange-funktion, leitetst nach gut1, gut2 und lambda ab...es ergeben sich 2 verschiedene gleichungen bei gut1 und gut2 aus denen du das lambda rausfilterst.
diese beiden gleichungen setzt du gleich und errechnest daraus dann jeweils die optimale menge für gut 1 und gut 2.
das setzt du dann in deine nutzenfunktion von oben rein und erhältst den maximalen nutzen.
 
th3o, ich muss gleich mit dir schimpfen! ;)

Guck nochmal GENAU in meinen Post... und du wirst merken, dass du wieder vorbeigeschossen hast :D

U' (q1) ist deiner Definition nach = dq1

Und jetzt guck nochmal auf die Totale Differenzierungs-Funktion...


@ shiro

Und, haste jetzt was verstanden? :D
Frag ruhig, ich versuchs so weit wie ich kann, zu erklären... dadurch kann ichs mir selber dann besser merken!
 
ich denke th3o hat es getroffen,da das totale Differential ja nur die Abhängigkeit von mehreren unabhänmigen Variablen zur abhänigen angibt.
Schlussendlich kann man das nicht erklären,da es sich um ein math.Problem wohl handelt.

Edit. Ne habs immernoch net kapiert...!

Allerdings sagen mir alel Begriffe was...in welchem Semester bist Du? Ich hatte damals auf dem WG auch BWl/VWL und wir haben auch Nutzenfunktionen usw. ( eigentlich genau das um das es hier eght...nur das ich es bei meinem Lehrer kapiert habe...aber nach dem Script da versteht das ja nur nen Professor!).
Also ich werde mich vonner Uni fernhalten und auf ne Fh gehn ( und ich Hirni wollt sogar mal nach Tübingen...)
 
Zuletzt bearbeitet:
evtl falsch ausgedrückt. nein, das sollte U´(q1) nicht sein.
aber was genau ist jetzt noch das problem? du weisst ja nun was "d" sein soll. die schreibweise ist nun mal so wie das in deinen formeln steht :)
und die substitutionselastizität hatte ich ja schon weiter oben erklärt.

edit @shiro
wenn du zb von hl² und D³ jeweils 5 exemplare hast, die beiden spiele aber unterschiedliche gewichtungen haben (zb liegt hl² in deinem wert höher als D³), dann könntest du zb 3 exemplare von D³ durch 2 exemplare von HL² substituieren.
 
Zuletzt bearbeitet:
Ich glaube eher, dass im totalen Differenzial der Fkt. U keine abhängige oder unabhängige Variable ist...

Das totale Differential ergibt ja 0!

dU = 0

da man sich ja immer noch auf der Nutzenfunktion bewegt... wieso? Das weiss ich eben nicht! Dazu muss ich erstmal die Bedeutung dieses "d" verstehen!

Aus dem tot. Diff. folgt ja: dq1/dq2 = - U'(q2)/ U'(q1) ... und das wiederum ist die GRS, die Grenzrate der Substitution...


EDIT:

dU=U' (q1) x dq1 + U'(q2) x dq2 ---> wenn d für Ableitung steht (kann ja sein), dann steht laut meiner Logik ja da:

--> dU = (dq1)² + (dq2)² .... und das ist doch Bullshit, oder?
 
ich glaub man dreht sich im kreis.
es wäre leichter wenn du eine grafik zur hand hättest. du hast gesagt du schreibst am 12.2 also bleibt dir noch etwas zeit. ich habe für mikro 2 wochen lang gelernt...es wäre hilfreich wenn du ein buch hättest, wo du dir die zeichnungen ansehen kannst. dann verstehst du auch die bewegungen auf den kurven.
die schreibweisen der formeln würde ich nicht hinterfragen, das ist relativ sinnlos und ist eh höhere mathematik, wovon ich zumindest keine ahnung habe. schau dir einfach ein praktisches beispiel an welches ihr im tutorium oder übung gerechnet habt. da wird das vielleicht besser ersichtlich.

ps: haushaltstheorie ist eh scheisse. produktionstheorie ist logischer. :D
 
Wenn ich mir die Zeichnungen reinziehe, blick ich schon, um was es geht! Aber die Formeln bringen mich jedes Mal wieder geistig auf nen anderen Stern :freak:


Was ich nicht so ganz verstehe: wieso verschwendest du deine Zeit mit VWL, wenn du doch den Kommunismus vorziehst? Da regelt sich nix im Markt, das macht alles die Partei :D
 

Anhänge

  • GrößenänderungGrößenänderungGrafik3.jpg
    GrößenänderungGrößenänderungGrafik3.jpg
    139,1 KB · Aufrufe: 733
Vielleicht hilft mein Anhang. Ich würde mir über diese Formalitäten von wegen dU etc. und dessen Bedeutung keinen Kopf zerbrechen. Einfach die Aufgabe so lösen, wie in meinem Beispiel...und es gibt Punkte ;-)
 

Anhänge

Bingo, Baby ;)

Das war meine Vermutung: das d ist nur ein bekackter Index, sprich:

Uq1 dq1 = U'(q1)

Schwuler Scheiss, wasesist... :D
 
ich ziehe nicht den nackten kommunismus vor. ich bin nur gegen den raubkapitalismus und um da was dran drehen zu können muss ich verstehen wie er funktioniert.
volkswirtschaft ist übrigens tabula rasa. es ist wie philosophie, jeder kann gebilde aufbauen wie er möchte. das instrumentarium welches einem zur verfügung steht ist nicht kapitalistischer natur. schliesslich studiere ich nicht bwl. bwl ist der echte kapitalismus. da hast du keinen spielraum, da tust du nur das was deinen gewinn maximiert.
in der vwl ist das nicht der fall. in der vwl geht es primär um zusammenwirken von märkten, verhinderung von starken schwankungen und interaktion mit anderen märkten damit beide märkte ergänzend einander positive impulse geben können.

man unterscheidet zb in der vwl zwischen keynesianer und monetarier. die monetarier sind die heutigen kapitalisten. sie lassen den markt regeln. die keynesianer (keynes war übrigens marxist) interagieren am markt und regulieren ihn mit ihrem instrumentarium. und das zum wohl aller (so zumindest das ziel)
wenn ein konzern vor dem konkurs steht...würde ein monetarier es nicht retten. auch wenn auf einen schlag 30000 arbeitsplätze verloren gehen. er würde sagen: irgendwann entstehen schon neue betriebe die diese 30 000 aufnehmen"
 
Zuletzt bearbeitet:
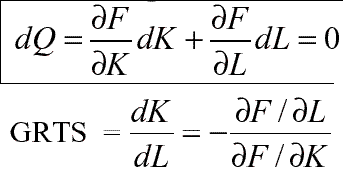
Zu der GRS: meiner Meinung nach fehlt in deinem eingescannten Beispiel etwas. So wie ich das bei mir sehe, geht das ganze nämlich so, wie in der Anlage.

Und zwar ist die GRS nix anderes, als das tot. Differenzial aufgelöst nach dK/dL. Das Ergebnis hinter dem "=" besteht dann nämlich aus Zahlen ('komischesZeichen'F/'komischesZeichen'L bedeutet ja F abgeleitet nach L)

Edit: @th3o: wenn wir jetzt auch schon beim Thema Kommunismus sind, geb ich dir jetzt grad hier die Antwort auf deine Stellungnahme zu meiner Behauptung im "Vorposten der Tyrranei"-Thread: na ja, ich hab die Sache ein Bisschen überspitzt dargestellt. Im Prinzip hast du schon Recht...
 

Anhänge

  • Unbenannt.GIF
    Unbenannt.GIF
    4,4 KB · Aufrufe: 1.075
Zuletzt bearbeitet:
Nun ja, aber Keynes wollte die staatliche Regulierung auf Kosten der nachfolgenden Generationen... mittels künstlicher Nachfragesteigerung aus der staatl. Portokasse --> "Seifenblaseneffekt"... den Marktteilnehmern wird ein Boom vorgegaukelt, das kann ziemlich ins Auge gehen.

In einer funktionierenden Marktwirtschaft haben die Monetarier Recht mit der Annahme, dass die 30000 irgendwo unterkommen!

Ich sage: "Weg mit den Gewerkschaften"! Die Mindestlöhne sind das Problem, sie stören die Marktmechanismen.

@Mods

Falls wir hier zu arg abweichen, bitte dezent eingreifen! ;)
In den nächsten Tagen werd ich wohl noch einige Fragen haben bzg. der Mikroökonomik...


@FH16

Nö, das passt schon!
In deinem Anhang kann man das dK und dL einfach weglassen, es ist im Prinzip nur ein Index... das "komisches Zeichen"F/"komisches Zeichen"K sagt ja schon aus, dass F nach K abgeleitet wird!

@Alle, die keinen Schimmer von dieser Materie haben

GRTS ist die Grenzrate der technischen Substitution, also die "GRS der Produktionstheorie"...

K steht für Kapital (Produktionsanlagen, Humankapital (<-- Unwort des Jahres 2004 übrigens), Lastwagen, Lagerhallen etc.)

L steht für Arbeit (Arbeiter ... der Unterschied zum Humankapital liegt in der Ausbildung, und das Humankapital bildet der Betrieb selber durch Schulung seiner Facharbeiter)
 
Zuletzt bearbeitet:
das konzept von keynes sieht vor die nachfrage anzuregen und dann in zeiten hoher gewinne & löhne die steuerschraube nach oben zu drehen um dann die aufgebauten schulden zurückzahlen zu können.

genau das was die monetarier machen ist in meinen augen unrecht. keiner kann sagen wann diese 30000 wieder arbeit finden werden. es ist in ihren augen nur wichtig dass der stärkere am markt bleibt. das ist meiner ansicht nach unmenschlich, da ihnen dann die einzelnen schicksale dieser menschen völlig am arsch vorbei gehen. es ist ihnen völlig egal ob sie existenzen damit zerstören weil sie nicht eingreifen und dem unternehmen über eine schwächephase hinweg finanziell aushelfen.

die gewerkschaften abschaffen ist gänzlich falsch. ich glaube dann würde sich jede industrienation in den abgrund reissen. alle würden die arbeit niederlegen, das würde zu einem landesweiten boykott führen. du kannst den arbeitnehmern nicht die stimme nehmen. das ist dann nur moderne sklaventreiberei und das in einem demokratischen system...geht schlicht nicht.
das einzige was den gewerkschaften fehlt ist der weitblick. sie sind nur auf den momentanen vorteil bedacht, ebenso wie der kapitalist der etwas ausbeutet. es ist ihm in dem moment auch völlig egal ob mit dem wald dass er da gerade gefällt hat, ein stück umwelt, das auf lange sicht lebenswichtig werden kann zerstört wurde.
 
Zuletzt bearbeitet:
Also noch mal zur Notation. U'(p1) bedeutet partielle Ableitung der Nutzenfunktion U nach dem Preis p1 (man verwendet auch das Zeichen "Del" ∂ ). dp1 bedeutet hingegen, daß der Parameter p1 nach sich selbst abgeleitet wird (ist ja nur eine Zahl, keine Funktion). Die unterschiedlichen Schreibeweisen dienen lediglich dazu partielle Ableitungen von Funktionen von "normalen" Ableitungen von Parametern deutlich zu machen.

dU=U' (q1) x dq1 + U'(q2) x dq2 ---> wenn d für Ableitung steht (kann ja sein), dann steht laut meiner Logik ja da:
Das ist Bullshit. ;) U'(q1) ist die partielle Ableitung dieser Funktion nach der Menge q1. Wohingegen U(q1) dq1 bedeutet die Nutzenfunktion mal die Ableitung nach der Menge q1.

Um das noch mal deutlich zu machen:
U'(p1) = ∂U(p1) / ∂p1

Zum totalen Differenzial. Du mußt jede Komponente nach den abhängigen Variablen ableiten und Parameter (wie Preise oder Mengen) nach sich selbst. Da brauchst du auch die unterschiedliche Notation (∂ und d).
U(p1) ist total differenziert: ∂U(p1) / ∂p1 * dp1 bzw. U'(p1) * dp1.
Also die Funktion partiell Ableiten und alle Parameter nach sich selbst.

Das totale Differential ergibt ja 0!
Also nicht aus einer inneren Logik heraus. Das ist nur die Maximierungsbedingung. Meist willst du ja wissen was sich alles ändern kann und der Nutzen konstant bleibt. Dann setzt du das totale Differenzial gleich Null.

Gruß
 
Zuletzt bearbeitet:
Zurück
Oben