TeamViewer Motive 2

Bräuchte Hilfe zu einer Mathe-Aufgabe

SOAD_Flo

Lt. Commander
Registriert
Sep. 2006
Beiträge
1.292
Ich bin im Mathe-LK in der 12. und soll demnächst im Unterricht ne Abiaufgabe vorrechnen. Dabei komme ich nun nicht weiter. Ich habe zwar die Teilaufgabe a fertig, bei b bin ich mir aber nicht ganz sicher und bei c und d komme ich nicht weiter.
Und ja, ich hab wirklich schon jede Menge gerechnet, also bitte nicht schließen.

Die Funktion sieht folgendermaßen aus:

funktion.jpg


Die Ableitung ist:
ableitung.jpg


In den Anhang habe ich noch ein Bild von der Funktion (mit Spur an, also variablem t) und dem Integral in b gehängt.

Die Teilaufgabe b wäre:

Die x-Achse, der Graph von f und die Gerade x=ln(2t) schließen eine Fläche ein. Zeige, dass deren Inhalt unabhängig von t ist.

Ich habe zuerst versucht, das Integral davon zu rechnen von ln(t) [Nullstelle] bis ln(2t) [Gerade], ich bekomme es aber nicht hin, eine Stammfunktion zu f(x) zu bilden.

Deswegen hab ich versucht, das Ganze anschaulich am Graphen zu formulieren, nämlich wie folgt:

"f(x) wird durch die Veränderung von t nur entlang der x-Achse verschoben und der Abstand zwischen x=ln(t) und x=ln(2t) bleibt immer gleich mit ln(2), d.h. die Fläche bleibt immer gleich."

Ich denke aber, dass das keine mathematische Begründung ist und nicht für die Fragestellung ausreicht. Ein anderer Weg ist mir aber nicht eingefallen. Fällt hier jemandem etwas Besseres ein?

Die Aufgabe c sieht so aus:
Der Graph der ersten Ableitung von f schneidet den Graph von f im Punkt S. Berechne die Koordinaten von S. Zeige, dass alle Punkte auf einer Geraden liegen.

Hier habe ich f(x)=f'(x) gesetzt und komme dabei (mit mehreren Zwischenschritten) auf

schnittpunkt.jpg


Hier weiß ich dann wieder nicht weiter. Wie komme ich hier auf den x-Wert?
Außerdem soll man ja zeigen, dass die Punkte auf einer Geraden liegen, wie mache ich das (Ortskurve?)?

Bei der d ist die Aufgabenstellung:
Zeige, dass jede Funktion f eine Umkehrfunktion besitzt. Gib die Definitionsmenge der Umkehrfunktion an. Wie lautet der Funktionsterm der Umkehrfunktion? Begründe anschaulich, dass die Funktion und die Umkehrfunktion einen gemeinsamen Punkt auf der ersten Winkelhalbierenden besitzen.

Ich zeige das Existieren einer Umkehrfunktion dadurch, dass ich zeige, dass eine Funktion streng monoton fallend/steigend ist, oder?

Das nächste wäre dann die Gleichung der Umkehrfunktion. Da komme ich nämlich auch nicht weiter. Ich habe zuerst x und y vertauscht und will dann nach y auflösen.

umkehrfkt.jpg


Hier komme ich dann nicht weiter. Wie löse ich hier nach y auf?

Danke für jede Antwort.
 

Anhänge

  • graph.jpg
    graph.jpg
    29 KB · Aufrufe: 478
  • integral.jpg
    integral.jpg
    15,5 KB · Aufrufe: 462
Probier mal mit ln auf beiden Seiten bei der Umkehrfunktion... Sorry hatte mir nur das Ende durchgelesen

Sorry bin grade selber noch an Mathe, schaue es mir gleich genauer an.
 
Zuletzt bearbeitet:
Wo meinst du das? Bei der Umkehrfunktion?
 
Zur (b) Stammfunktion: Ich weiss jetzt nicht, wie ich Latex Quelltext hier einfügen kann ^^
int 1- (2e^x)*1/(e^(x)+t) dx = int 1 dx - int (2e^x)*1/(e^(x)+t) dx
Konstante raus: 1 aufleiten:

= x - 2*int(e^x)*1/(e^(x)+t) dx

jetzt Substitutionsregel fürs Integral:
(also e^(x)+t = u, dann ist du/dx = e^x (einfach nur ableiten), und dx folglich: dx = du/e^x, einfach nur umformen)
Damit:

= x-2*(ln(e^(x)+t)

Das war jetzt mal nur so auf die Schnelle das Integrieren, würde mich nicht auf exakte Ergebnisse verlassen, der Rechenweg sollte aber passen ;)
 
Danke schonmal, nur das Ganze ist irgendwie unübersichtlich :)
 
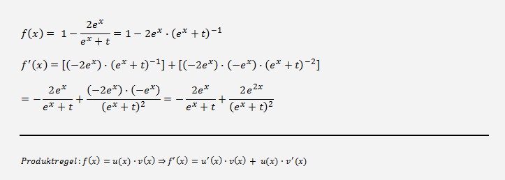
Ohne mir den Rest durchgelesen zu haben: meines Erachtens ist deine erste Ableitung falsch, t kann nicht im Zähler auftauchen. Mit der Produktregel säh es bei mir so aus:

produktregel-jpg.130790


Hab allerdings schon ewig nicht mehr abgelitten, vielleicht ist's auch Nonsense :D
 

Anhänge

  • produktregel.jpg
    produktregel.jpg
    23,3 KB · Aufrufe: 793
Zuletzt bearbeitet:
@ Snoot

Soweit richtig, allerdings kannst du dein (vorläufiges) Endergebnis - 2·ê^x/(ê^x + t) + 2·ê^(2·x)/(ê^x + t)^2 noch weiter vereinfachen zu - 2·t·ê^x/(ê^x + t)^2. Die Ableitung des TE ist also korrekt.
(Du musst den ersten Bruch mit (ê^x+t) erweitern, so kommt dann das t in den Zähler.)
 
Aja, natürlich - sorry. War jetzt so drauf fixiert, dass das t nicht da oben landen kann, dass ich nicht ans Vereinfachen gedacht habe.

Also stimmt das ganze, auch mit Quotientenregel :D

quotientenregel-jpg.130789
 

Anhänge

  • quotientenregel.jpg
    quotientenregel.jpg
    25 KB · Aufrufe: 739
Zuletzt bearbeitet:
Nach der Quotienten Regel f(x)=u/v f'(x)=(u'*v-u*v')/v² kann doch eine Constante im Zähler stehen, wenn der Zähler der Funktion nicht constant ist.
Vom Rest habe ich leider noch keine Ahrnung trotz Mathe LK und 12 KLasse.
 
Zurück
Oben