Crageth
Ensign
- Registriert
- Sep. 2014
- Beiträge
- 139
Hey Leute, zuallererst: Ich bin blutiger Anfänger und das ist tatsächlich mein erster Versuch mit NetBeans und Java. Hier handelt es sich um eine Übungsaufgabe meiner Hochschule, aber nichts, was mit Prüfungen zu tun hat oder sowas.
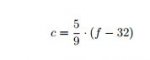
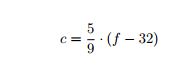
Aufgabenstellung: Ich soll eine Umrechnung von Fahrenheit nach Celsius vornehmen und hab dafür folgende Formel
Variablen dürfen nur Int sein.
Daraus entstand bei mir folgender Code:
Ich habe den Code bereits mit einem Kumpel abgeglichen, welcher es im Grunde gleich hat und nur die Variablen anders benannt hat. Bei ihm klappt es.
Bei mir kommt eine Fehlermeldung, welche folgendes sagt:
Das einzige, was daraus für mich einen Sinn macht ist, dass die Compilierung gezickt hat, allerdings kann ich mit "Build Failed" nicht viel anfangen.
Ich habe Die Standart Netbeans Version mit einem einzelnen Checkstyle Plugin, welches mir von der Schule gestellt wurde und bei dem ich annheme, dass es klappt, da sonst noch niemand gesagt hat, dass es nicht klappen würde. In der Liste der installierten Plugins ist es und es klappt auch.
Ich hoffe, dass die Textfragmente euch zeigen um welches Problem es sich handelt, denn das ist alles, was NetBeans ausspuckt. Falls einer eine Lösung hat, bitte auf Deutsch, wie gesagt, blutiger Anfänger =)
P.S. Gab es hier nicht mal eine Spoiler Funktion damit man Textteile einklappen kann?
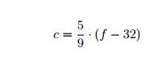
Aufgabenstellung: Ich soll eine Umrechnung von Fahrenheit nach Celsius vornehmen und hab dafür folgende Formel

Variablen dürfen nur Int sein.
Daraus entstand bei mir folgender Code:
public class Umrechnungen {
public static void main(String[] args) {
//Variablen
int celsius1;
int celsius2;
//Berechnung
celsius1 = (( 40 - 32 ) * 5 ) / 9;
celsius2 = (( 41 - 32 ) * 5 ) / 9;
//Ausgabe
System.out.println( celsius1 );
System.out.println( celsius2 );
}
}
Ich habe den Code bereits mit einem Kumpel abgeglichen, welcher es im Grunde gleich hat und nur die Variablen anders benannt hat. Bei ihm klappt es.
Bei mir kommt eine Fehlermeldung, welche folgendes sagt:
ant -f D:\\Dateien\\Studium\\WS2016\\EPR\\Aufgabenblatt1 -Dnb.internal.action.name=run run
init:
Deleting: D:\Dateien\Studium\WS2016\EPR\Aufgabenblatt1\build\built-jar.properties
deps-jar:
Updating property file: D:\Dateien\Studium\WS2016\EPR\Aufgabenblatt1\build\built-jar.properties
Compiling 2 source files to D:\Dateien\Studium\WS2016\EPR\Aufgabenblatt1\build\classes
D:\Dateien\Studium\WS2016\EPR\Aufgabenblatt1\src\Aufgabe1.java:23: error: class, interface, or enum expected
}
1 error
D:\Dateien\Studium\WS2016\EPR\Aufgabenblatt1\nbproject\build-impl.xml:930: The following error occurred while executing this line:
D:\Dateien\Studium\WS2016\EPR\Aufgabenblatt1\nbproject\build-impl.xml:270: Compile failed; see the compiler error output for details.
BUILD FAILED (total time: 0 seconds)
Das einzige, was daraus für mich einen Sinn macht ist, dass die Compilierung gezickt hat, allerdings kann ich mit "Build Failed" nicht viel anfangen.
Ich habe Die Standart Netbeans Version mit einem einzelnen Checkstyle Plugin, welches mir von der Schule gestellt wurde und bei dem ich annheme, dass es klappt, da sonst noch niemand gesagt hat, dass es nicht klappen würde. In der Liste der installierten Plugins ist es und es klappt auch.
Ich hoffe, dass die Textfragmente euch zeigen um welches Problem es sich handelt, denn das ist alles, was NetBeans ausspuckt. Falls einer eine Lösung hat, bitte auf Deutsch, wie gesagt, blutiger Anfänger =)
P.S. Gab es hier nicht mal eine Spoiler Funktion damit man Textteile einklappen kann?