TeamViewer Motive 1

Asrock Z68 Pro3 & i5-2500k Taktfrequenzfehler?

algore87

Cadet 2nd Year
Registriert
März 2011
Beiträge
30
Hallo zusammen,
heute kam mein neuer Rechner. Dieser beinhaltet folgendes:
i5-2500k
Asrock Z68 Pro3
Gainward Phantom 570
Corsair Force 3 SSD 120gb
Noctua-NHD14
Corsair 600t Gehäuse
8gb CL9 Rams

Er läuft soweit recht gut. Hab auf der SSD im AHCI Modus Win7 installiert und auch alle Treiber etc. Wollte nun ans übertakten gehen weil mit der Hardware ja locker 4Ghz drin sind. Also ins Bios Multi auf 40 hoch bei 100mhz und die VCore auf 1.205V angehoben (Fixed).

Habe nun folgendes Problem, er stürzt gelegentlich ab (manchmal Blue und eben eingefroren, danach SSD nichtmehr erkannt. Nach Kaltstart gings wieder)

Nun bugged er manchmal bei der Core Speed in CPU-Z.
-Siehe Anhang-

Muss im Bios sicherlich noch einiges ändern von den Settings außer nur Manuel den Multi auf 40anzuheben und die Vcore zu erhöhen oder? Gibt soviele Overclockin (etc) optionen.

Wenn ich in im Bios auf den Multi 40 stelle und neustarte, zeigt er mir auch beim Ladescreen die 4Ghz an, nur jetzt im CPU-Z nicht. Woran liegts? Auch von der Leistung bin ich nicht 100% überzeugt, bekomm im Windows 7 Bench nur 7.6. Ist das normal?

Mfg Alex
 

Anhänge

  • cpuznug.png
    cpuznug.png
    59,1 KB · Aufrufe: 377
Zuletzt bearbeitet:
also ins bios multi auf 40 hoch bei 100mhz und die vcore auf 2.05v angehoben (fixed).

wtf?!

Ohne zu wissen was du jetzt genau gemacht hast eines kann ich dir sagen du hast irgendetwas verkehrt gemacht :D

Nun bugged er manchmal bei der Core Speed in CPU-Z.

Das ist kein Bug sondern ein Stromsparmechanismus...
 
Mach mal ein Stresstest mit Prime, und guck dann auf den Takt in CPU-z.
Aber bei 2.05 Volt ist die CPU wohl sowieso schon hin :D


Mfg
 
Wenn ich in im Bios auf den Multi 40 stelle und neustarte, zeigt er mir auch beim Ladescreen die 4Ghz an, nur jetzt im CPU-Z nicht. Woran liegts? Auch von der Leistung bin ich nicht 100% überzeugt, bekomm im Windows 7 Bench nur 7.6. Ist das normal?

Der TurboMode geht auf 4Ghz. Idle immer 1,6 Ghz.

7.6 ist völlig in Ordnung. Ist eh nicht wirklich ernst zu nehmen dieser Index.

auf 2.05v angehoben (fixed)

Hast du was am Hut ? ^^ Erst informieren, dann rumspielen.
 
Ach mein Fehler, meinte 1.2V :) nicht 2 Volt. Verschrieben :-(
 
Dann nehme ich alles zurück :D
 
habe genau das gleich Setup (i5 2500k + ASRock Pro3) und kann ohne jegliche Spannungserhöhung auf Multi 45 also 4,5ghz stellen. Prime Läuft dabei ohne Probleme durch. Vielleicht die Bios Defaults laden und dann nochmal probieren.
 
Zuletzt bearbeitet:
Bei neim Multi von 40 kann ich undervolten. Gleiches Setup.
 
Schau auch mal nach, mit wieviel V der Ram läuft. Meistens 1,65 V oder sonst 1,5 V - steht auf'm Riegel.

Das Maximum beim i5-2500k mit Luftkühlung müssten ca 4,5 GHz sein - die sollten stabil laufen. Darüber könnte es Problematisch mit den Temps werden.
 
Also ungetaktet läuft Prime einwandfrei. Aber mit 40er Multi 4Ghz bei 1.205V bekomm ich nach 5 Minuten einen Bluescreen :-/ echt seltsam. Obwohl die Temperaturen nie über 50° gehen.
 
Schon mal die VID (z.B. mit HWiNFO32) deiner CPU bei 4.0GHz ausgelesen? Abgesehen davon ist die Verwedung eines (bei 4.0GHz deutlich negativen) Offset generell einem gefixtem Vcore vorzuziehen.
 
Dann gönne ihm doch einfach mehr Spannung, schon mal damit versucht? Für 4.5GHz brauch man so um die 1.35V für echte stabilität wenn ich mich recht erinnere. Ergo sind 1.2V wohl einfach zu wenig für 4GHz.
 
läuft jetzt stabil auf 4Ghz, einfach Offset Vcore -0.065V! läuft nun unter Volllast bei 1.2V 1.19V. Prime95 langzeit getestet.
 
Wenn du es über Offset macht, dann musst du aber auch die Lastwechsel ausgiebig testen. Was du jetzt weist, ist das er bei 4GHz und 1.19V stabil ist, aber wenn er runter taktet passt er die Spannung ja auch an nach unten hin an.
Darüber hinaus musst du die anderen Frequenzen und dazu gehörigen Spannungen die er jetzt fährt testen.
Also z.B. die 1.6GHz im idle mit der Spannung die er im Idel hat, aber unter Vollast. Sonst kann es nicht nur beim Lastwechsel, sondern auch beim Idlen zu Fehlern kommen. Das ist sehr arbeitsintensiv, daher empfiehlt es sich nicht die Spannung bei Ocen über den Offset anzupassen, wenn man Fehler ausschließen will.

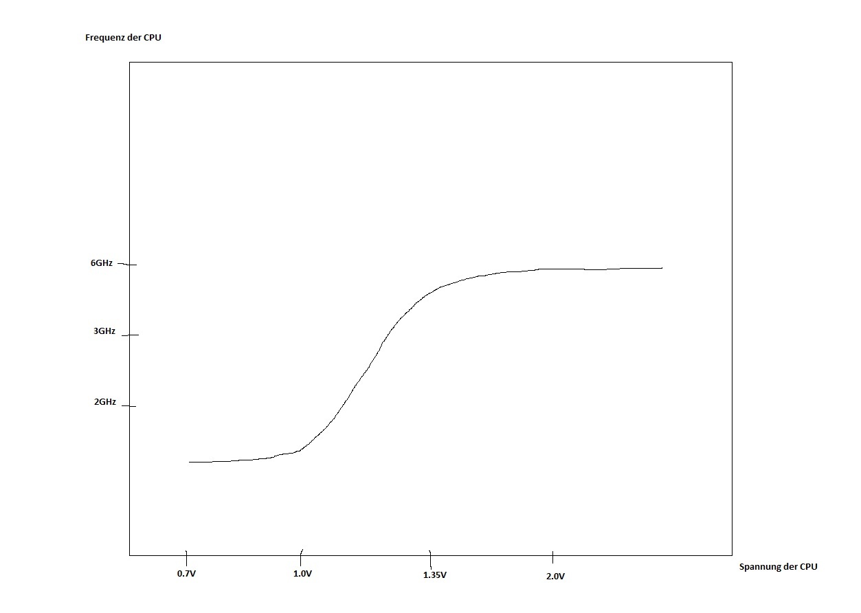
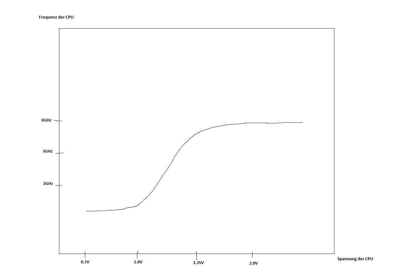
Damit das Problem ersichtlicher wird, stell dir vor du senkst den Offset soweit, das du im Idle bei 0.7V angekommen bist (unter last entspräche das dann vielleicht 1.0V)
die max. Frequenz ist dann vielleicht bei 2.8GHz. Dann kann es zwar unter last vollkommen stabil laufen, aber sobald die CPU runter taktet und die Spannung auf 0.7V senkt, kommt es zum Hänger, da Silizium Chips min. 0.7V brauchen um zu schalten. Das heißt der Offset passt die Spannung linear an, aber die Kennlinie der CPU ist nicht Linear. Sie kann nur in einem kleinen Bereich linear genährt werden, aber bei das Frequenzspektrum was sie hier abdeckt ist zu groß dafür.
Im Anhang eine schnelle Skizze wie sich das ungefähr verhält.
 

Anhänge

  • Unbenannt.jpg
    Unbenannt.jpg
    40,8 KB · Aufrufe: 179
das kann ich bestätigen . hatte auch offset auf 1,7 eingestellt . bei last stabil . aber im idle ging der vcore manchmal bis auf 0,63v runter . hatte dann einige aussetzer z.b. bei sat aufnahmen . also sollte man immer über 0.7v bleiben wenn ich das richtig gelesen hab ?
 
das kann ich bestätigen . hatte auch offset auf 1,7 eingestellt . bei last stabil . aber im idle ging der vcore manchmal bis auf 0,63v runter . hatte dann einige aussetzer z.b. bei sat aufnahmen . also sollte man immer über 0.7v bleiben wenn ich das richtig gelesen hab ?
Das kann man allgemein so nicht sagen, da letztendlich auch der minimale Vcore individuell verschieden ist. Sandy Bridge wurde für 0.65V bis 1.05V designed und es gibt durchaus Exemplare die mit 0.6xxV im Idle stabil sind. Typischerweise wird es bei einem Offset von um die -0.200V im Idle problematisch, während für den maximalen Stock Clock von 3.4GHz meist knapp 1V genügt. Übrigens erreichen gute Sandies 4.0GHz mit 1.0xxV, 4.5GHz mit 1.2xxV und 5.0GHz mit 1.3xxV.
 
ob meine cpu gut ist weiss ich auch nicht wirklich . hab ne batch L045B311 . hatte mal irgendwo gelesen das 4 ghz bei 1,16v lüppt . wobei ich das oc nicht brauche . jedenfalls ist es stromsparender wenn man offset benutzt . bei -1,7 brauchte meine cpu nur bisschen über 40 watt last . war wohl doch bisschen zu wenig .
 
Zurück
Oben