TeamViewer Motive 4

Fax einrichten mit eigener Faxnummer - ich check´s einfach nicht

TomDie1982

Cadet 2nd Year
Registriert
Okt. 2022
Beiträge
26
Hallo liebe Gemeinde,

(Admins, bitte Beitrag verschieben, wenn hier falsch - Danke)
Ich versuche seit Tagen mein Multifunktionsgerät zum Faxen zu installieren, bekomme aber immer die Meldung "keine Verbindung"
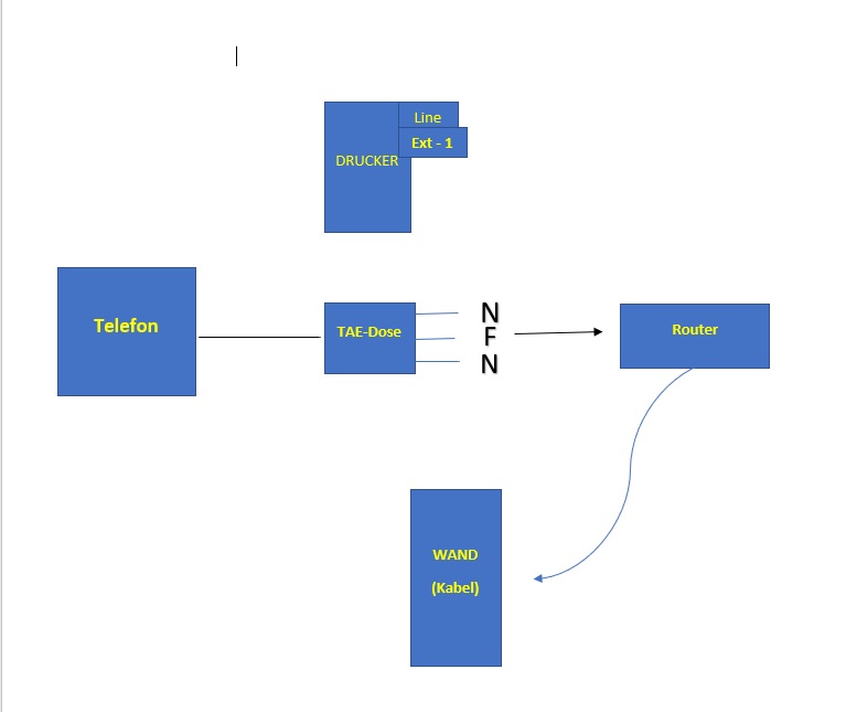
Bevor ich viel rumrede, habe ich mal ein Schema gebastelt, wäre super wenn ihr mir sagen könntet, warum es nicht funzt, bzw. wie ich es zu verkabeln hätte.
Ich habe eine Rufnummer für Festnetz-Telefonie, und eine eigene Faxnummer.

System: Win 10 Pro
Geräte: HP Officejet 3138
Router: Vodafone Station
Hoffe ihr könnt mir helfen, bevor ich alles aus dem Fenster schmeiße :-D
LG und Danke vorab.
 

Anhänge

  • Screen Verkabelung.jpg
    Screen Verkabelung.jpg
    29,2 KB · Aufrufe: 344
  • Screen Verkabelung.docx
    Screen Verkabelung.docx
    31,6 KB · Aufrufe: 247
Aus dem Schema erkennt man Mal gar nix. Außerdem gibt es ja nur noch IP Anschlüsse, alles sollte also über den Router angeschlossen sein.
 
Mit nur einer Telefonnummer, LINE Anschluss des Druckers an die VF Station. Telefon an den EXT1 des Druckers.
Im Handbuch des Druckers schauen, welche Einstellungen ggf. noch erforderlich sind.
 
Die Telefonleitung vom Officejet wird am TEL1 der Vodafone Station angeschlossen und das Telefon am EXT-Anschluss des Officejets. Dann im Drucker noch einrichten, dass über die Leitung auch telefoniert wird und auch bei Sprache Faxe angenommen werden sollen.
 
TomDie1982 schrieb:
Bevor ich viel rumrede, habe ich mal ein Schema gebastelt, wäre super wenn ihr mir sagen könntet, warum es nicht funzt, bzw. wie ich es zu verkabeln hätte.
Laut diesem "Schema" hast du dein Fax mit nichts verbunden. Wie genau soll es dann was anderes anzeigen als "keine Verbindung"?
 
Danke für die schnellen Antworten, allen!
Ich ließ das Schema zw. Drucker und ??? extra offen, weil ich beide Anschlüsse schon probiert hatte aber beides nicht ging. Daher habe ich gehofft, ihr schreibt mit "zieh ´nen Strang VON - NACH.
Was ich mich nur grade frage: Einige von euch schreiben von 2 Kabeln zw. Drucker / Tel und Router? Aber ich habe doch die TAE Dose dazwischen... Muss nicht das Fax in eine der beiden N rein? Dafür ist die doch da, zwischen Tel und Fax zu unterscheiden, oder?
(hatte ich so, aber ging nix)

LG
 
Also fass ich zusammen:
Ich brauche ein extra Telefonkabel vom MFD direkt zum Router? (Der hat 4 Tel-Anschlüsse). Also Drucker ein eine Buchse rein, und das Tel in einen anderen? (Die TAE-Dose kann dann weg, oder?)
 
du hast es erfasst. Wie sonst willst du die Nummern unterscheiden?
 
Eben. Das war ja mein "Laien"-Gedanke, dass das durch die 2 Nummern und die TAE-Dose passiert. Aber danke, für die Hilfe! Werde nun Kabelshoppen gehen :-)
Gute Nacht und noch eine schöne Weihnachts-Zeit!
 
TomDie1982 schrieb:
Das war ja mein "Laien"-Gedanke, dass das durch die 2 Nummern und die TAE-Dose passiert.
Die TAE-Dose ist ein uraltes, analoges Relikt. Die kennt sowas wie Nummern überhaupt nicht. Nur Nebenstellen und das auch sehr primitiv gelöst. Die kann für sich im Grunde gar nichts.
Eine Faxweiche nimmt ein Gespräch quasi an und horcht, ob Töne kommen, die ein eingehendes Fax signalisieren und schaltet dann auf Telefon oder Faxgerät um. Das ist aber auch sehr primitiv und ebenfalls nicht nummernbasierend und in VoIP-Zeit ein totaler Schmarrn.
Der Router hat genau deshalb mehrere analoge Ausgänge, er simuliert quasi eine klassische Telefonanlage. An jeden Ausgang gehört maximal ein Gerät und die Nummer kannst du dann im Routermenü zuweisen.

Eine Frage kann ich mir aber nicht verkneifen: Wozu braucht man im Jahr 2022 noch ein Fax-Gerät? Insbesondere privat?
 
Lach... Deine Frage ist berechtigt und ich kann dir nur zustimmen!
Leider ist es halt so, dass ich die Einrichtung für meine "älteren" Schwiegereltern machen will / sollte. Die kommen mit Mail und Social Media nicht klar. Und weil die viel mit Behörden korrespondieren, wollen / brauchen die halt das Fax. :-)
Absolutes Chaos, würde ich jetzt sagen "Heinz, scann das Schreiben, wandle es in PDF um, bearbeite es am PC und schick es dann per Mail zurück"
Verstehst??? :-D :-D
Dann besser Fax... ggg
 
  • Gefällt mir
Reaktionen: dideldei und rg88
Himmel... ich werde so Leute nie verstehen. Seit 20 Jahren stirbt diese Technik aus und es gab soviele Möglichkeiten, dass man technisch nicht komplett den Anschluss verliert, aber solche Leute schalten einfach auf stur und verweigern.
Jetzt setzt man weiterhin auf eine tote Technik die über VoIP mehr schlecht als recht funktioniert.
Die sind doch wahrscheinlich noch nicht so alt, dass sie nur noch ein paar wenige Jahre "mit Behörden" was machen müssen, oder? Ich würde das ja nicht im geringsten Unterstützen, denn wenn "die Behörden" mit der fortschreitenden Digitalisierung diesen alten Mist endlich abschaffen, stehen deine Schwiegereltern da wie ein Urwaldbewohner vor einem Strommasten und schauen nur ungläubig.
Du verschiebst das Problem quasi nur und wirst dich halt später umso mehr um den Mist kümmern müssen.
Ich hasse es, wie solche Leute einfach eine Handbremse in ihrer technischen Entwicklung einlegen, als hätte es das Fax schon seit 1000 Jahren gegeben und man braucht nichts neueres. Das Telefon und Fax haben sie doch auch in ihr Leben gelassen, warum dann einfach auf stur schalten und sich jeglicher weiteren Technik und Modernisierung verschließen?
Meine Oma ist 87 und nutzt täglich ihr Tablet. Früher hat sie auch mit Begeisterung Videotext genutzt und auch ansonsten sich für jede neue Technik zumindest offen gezeigt und die Vorteile eines tragbaren Tastentelefons gegenüber der alten Wählscheibe verstanden. Wie kann die Boomer-Generation nur immer so ein Brett vorm Kopf haben und sich so unfassbar stur an irgendwas x-beliebiges Klammern.

Und ja, ich kenne genau das selbe von meiner Mutter und meinen Onkeln und Tanten. Die sind genau so drauf wie deine Schwiegereltern. Aber ich unterstütze sie dabei nicht mehr. Entweder sie gehen mit der Zeit oder sie müssen sich einen Deppen suchen und den für ihren Käse bezahlen. Funktioniert mittlerweile hervorragend ;)
Wollte nur mal Luft rauslassen :D
 
  • Gefällt mir
Reaktionen: dideldei
Lach Ich merk schon, das war jetzt dein "Stachel" :-) Aber mach dir keinen Kopf, ich kann getrost, Meinungen akzeptieren. :-)
Natürlich hast du recht, aber solche "Omis" wie deine, hat halt nicht jeder ;-)
Ich find es ja auch richtig lustig oder genial, wenn man rüstige Leute im TV sieht, die mit nem Ipad runhantieren als wäre das ein Telefonbuch 1978. :-D

Aber mei............ ;-)
 
  • Gefällt mir
Reaktionen: dideldei und rg88
TomDie1982 schrieb:
Muss nicht das Fax in eine der beiden N rein? Dafür ist die doch da, zwischen Tel und Fax zu unterscheiden, oder?
Fax in N: das war früher mal so, als die Signale noch analog von draußen ankamen. Und die Unterscheidung Fax/Tel hat die FAX-Weiche im Fax-Gerät gemacht. Bei einem Telefon-Anruf ging das Signal wieder zurück an die F-Buchse zum Telefon. Jetzt macht die Unterscheidung Fax/Tel der Router und gibt das passend an der richtigen Buchse aus (wenn die Router-Einstellungen richtig gemacht wurden).

TomDie1982 schrieb:
(Die TAE-Dose kann dann weg, oder?)
Nein, die muß bleiben. Das ist die Stelle, an der Dein Internetprovider (vermutlich Telekom) nachmißt, ob die Leitung von draußen zu Dir in Ordnung ist. Für alles, was an der TAE-Dose (F-Anschluß) nach innen angeschlossen ist, bist Du zuständig. An den beiden N-Buchsen darf nichts angeschlossen werden (darum hat der F-Stecker an der Leitung zum Router auch so breite Flügel).

TomDie1982 schrieb:
Werde nun Kabelshoppen gehen
War da beim Fax-Drucker nichts dabei?
 
Letztere ist eine wichtige Frage, denn nicht jedes Kabel hat die richtige Belegung. Manche Hersteller gehen Sonderwege.
 
TomDie1982 schrieb:
Ich brauche ein extra Telefonkabel vom MFD direkt zum Router? (Der hat 4 Tel-Anschlüsse). Also Drucker ein eine Buchse rein, und das Tel in einen anderen?
4 Tel-Anschlüsse? Mir ist kein Router bekannt der 4 x Tel hat. In der Regel hat der Router 4 x LAN, welche aber nix mit dem Fax zu tun haben. Drucker kann man je nach Typ per LAN, WLAN oder USB anbinden. Das Fax hat ein extra Kabel mit einem TAE Stecker das auch an den Router muss. Diese Kabel liegt auch normal bei. Sag doch mal welche Drucker/Fax Kombi es genau ist und welcher Router.

Wie gut das FAX an einem VoIP Anschluss geht muss man sehen. Die beiden Techniken vertragen sich nicht immer gut. Dies ist der Grund warum man sich vom Fax lösen sollte und auf moderne Kommunikation wechseln.
 
Das war ja mein "Laien"-Gedanke, dass das durch die 2 Nummern und die TAE-Dose passiert.
Wenn du zwei Nummern hast, ordne die Nummern jeweils einem Ausgang an der VF-Station zu.

Telefon an 1 Fax an 2 anschließen.
 
hanse987 schrieb:
Wie gut das FAX an einem VoIP Anschluss geht muss man sehen.
Da spielt der verwendete Router mit - der muß ja das analoge Fax-Signal in ein digitales Signal umwandeln. Mit meinen Fritzboxen hatte ich da nie Probleme.
Ergänzung ()

hanse987 schrieb:
Dies ist der Grund warum man sich vom Fax lösen sollte und auf moderne Kommunikation wechseln.
Das wird von den Gegenstellen nicht immer akzeptiert. Mein Arzt verwedet z.B. keine E-Mail, kann mir aber per Fax einen Bericht zusenden. Und Behörden sind auch noch längst nicht alle umgestiegen.
 
Zurück
Oben