M.E.
Lt. Commander
- Registriert
- Jan. 2007
- Beiträge
- 1.923
Hallo,
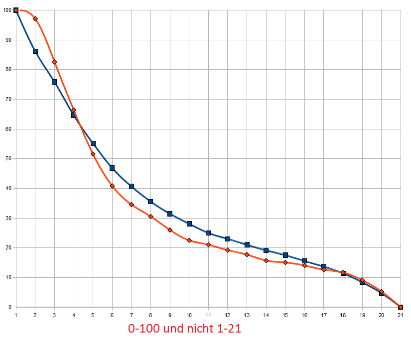
Ich habe ein Linien-Diagramm aus 2 Datenreihen erstellt.
Die Y-Achse ist von niedrigsten bis zum höchsten der Werte aus den Datenreihen skaliert (0-100), was ich auch, wenn ich die Y-Achse mit rechtsklick auswähle, skalieren kann (z.b. 0-120).
Bei der X-Achse hingegen ist diese Skalierung grau hinterlegt also nicht bedienbar (siehe Screenshot).
Im Diagramm sind in jeder Datenreihe 21 Datensätze und die x-Achse hat diese einfach durchgezählt. Ich möchte aber eine Skalierung von 0-100. Was muss ich machen, damit ich die x-Achse skalieren kann?
Habe ich schon beim Erstellen des Diagramms einen Fehler gemacht?
MfG
M.E.
nach einem Tag noch keine Antworten... Hab ichs zu schlecht beschrieben? Sagt nur, wenn ihr noch Infos braucht, um mir helfen zu können
Noch ein Screenshot von der Tabelle:
Die linkeste Spalte ist im Prinzip das was auf der x-Achse stehen soll, die anderen beiden sind die Datenreihen.
Die linkeste Spalte steht nur so da, hat aber keinen Bezug zum Diagramm im Dokument (ist nicht mit diesem verknüpft). Kann/Muss ich das irgendwie reinbringen?
Ich bekomme aus Daten nämlich nur y-Werte, die Schrittweite o.ä. der x-Achse lässt sich damit nicht verändern.
Ich habe ein Linien-Diagramm aus 2 Datenreihen erstellt.
Die Y-Achse ist von niedrigsten bis zum höchsten der Werte aus den Datenreihen skaliert (0-100), was ich auch, wenn ich die Y-Achse mit rechtsklick auswähle, skalieren kann (z.b. 0-120).
Bei der X-Achse hingegen ist diese Skalierung grau hinterlegt also nicht bedienbar (siehe Screenshot).
Im Diagramm sind in jeder Datenreihe 21 Datensätze und die x-Achse hat diese einfach durchgezählt. Ich möchte aber eine Skalierung von 0-100. Was muss ich machen, damit ich die x-Achse skalieren kann?
Habe ich schon beim Erstellen des Diagramms einen Fehler gemacht?
MfG
M.E.
Ergänzung ()
nach einem Tag noch keine Antworten... Hab ichs zu schlecht beschrieben? Sagt nur, wenn ihr noch Infos braucht, um mir helfen zu können
Noch ein Screenshot von der Tabelle:
Die linkeste Spalte ist im Prinzip das was auf der x-Achse stehen soll, die anderen beiden sind die Datenreihen.
Die linkeste Spalte steht nur so da, hat aber keinen Bezug zum Diagramm im Dokument (ist nicht mit diesem verknüpft). Kann/Muss ich das irgendwie reinbringen?
Ich bekomme aus Daten nämlich nur y-Werte, die Schrittweite o.ä. der x-Achse lässt sich damit nicht verändern.
Anhänge
Zuletzt bearbeitet: