acidarchangel
Lt. Commander Pro
- Registriert
- Apr. 2009
- Beiträge
- 1.614
Moin zusammen!
Hier erstmal alles zu meinem Anschluss:
Tarif: Vodafone CableMaxxx 1GBit
Modem/Router: Eigene FritzBox 6591
Endgeräte via LAN-Kabel verbunden
Verbindungsdaten der FritzBox im Anhang
Sonntag bin ich aus dem Kurzurlaub gekommen und habe Montagmorgen im Homeoffice festgestellt, dass die Sprachqualität über die VPN Leitung (VoIP) bei meinen Kollegen sehr schlecht ankommt. Daraufhin habe ich mehrfach Speedtests über meinen Rechner und diverse andere Geräte gemacht, die Fritzbox Einstellungen geprüft, die Fritzbox mehrfach neugestartet und letztendlich die Hotline kontaktiert. Am Freitag soll nun ein Techniker kommen. Ergebnisse von drei Speedtests heute morgen habe ich exemplarisch mal angehangen. Hier sieht man, dass die Probleme immer nur temporär auftreten und nicht dauerhaft.
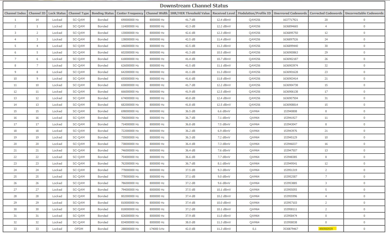
Was mich jedoch interessiert und worauf ich trotz mehrfacher Nachfrage bei der Hotline einfach keine Antwort bekommen habe: Ich habe einen Gigabit Anschluss und trotzdem habe ich in Empfangsrichtung Fehler auf den DOCSIS 3.0 Kanälen. Das deutet mMn darauf hin, dass mir falsche Einstellungen zugewiesen sind, oder sehe ich das falsch?
Zudem ist mir eben aufgefallen, dass die Startfrequenz ohne meinen Eingriff plötzlich von 490 auf 578 MHz geändert ist. Kann Vodafone das zuweisen, obwohl es sich um meine eigene Box handelt? Eine Verbesserung hat diese Änderung im Übrigen nicht ergeben.
Viele Grüße
acid
Hier erstmal alles zu meinem Anschluss:
Tarif: Vodafone CableMaxxx 1GBit
Modem/Router: Eigene FritzBox 6591
Endgeräte via LAN-Kabel verbunden
Verbindungsdaten der FritzBox im Anhang
Sonntag bin ich aus dem Kurzurlaub gekommen und habe Montagmorgen im Homeoffice festgestellt, dass die Sprachqualität über die VPN Leitung (VoIP) bei meinen Kollegen sehr schlecht ankommt. Daraufhin habe ich mehrfach Speedtests über meinen Rechner und diverse andere Geräte gemacht, die Fritzbox Einstellungen geprüft, die Fritzbox mehrfach neugestartet und letztendlich die Hotline kontaktiert. Am Freitag soll nun ein Techniker kommen. Ergebnisse von drei Speedtests heute morgen habe ich exemplarisch mal angehangen. Hier sieht man, dass die Probleme immer nur temporär auftreten und nicht dauerhaft.
Was mich jedoch interessiert und worauf ich trotz mehrfacher Nachfrage bei der Hotline einfach keine Antwort bekommen habe: Ich habe einen Gigabit Anschluss und trotzdem habe ich in Empfangsrichtung Fehler auf den DOCSIS 3.0 Kanälen. Das deutet mMn darauf hin, dass mir falsche Einstellungen zugewiesen sind, oder sehe ich das falsch?
Zudem ist mir eben aufgefallen, dass die Startfrequenz ohne meinen Eingriff plötzlich von 490 auf 578 MHz geändert ist. Kann Vodafone das zuweisen, obwohl es sich um meine eigene Box handelt? Eine Verbesserung hat diese Änderung im Übrigen nicht ergeben.
Viele Grüße
acid
Anhänge
-
FB6591_Uebersicht.PNG89,8 KB · Aufrufe: 2.281 -
FB6591_Kanaele_1.PNG121,2 KB · Aufrufe: 2.171 -
FB6591_Kanaele_2.PNG95,4 KB · Aufrufe: 2.440 -
FB6591_Kanaele_3.PNG59 KB · Aufrufe: 2.069 -
Speedtest_28_07_6_30.PNG12,1 KB · Aufrufe: 1.625 -
Speedtest_28_07_7_00.PNG11,9 KB · Aufrufe: 1.222 -
Speedtest_28_07_7_25.PNG12,5 KB · Aufrufe: 1.479
