News Telekom und DeutschlandGPT: Sicheres KI-Modell für deutsche Schulen gestartet

Simanova schrieb:
Als nächstes liefern LLM nur noch Hinweise in welchen Büchern man das finden könnte
Wenn die LLMs es durchweg schaffen würden Literatur zu erschließen wäre das ein riesen Mehrwert!

Sanctuslight schrieb:
Respekt an die Telekom.
Den Zuständigen Bürokraten davon zu überzeugen und dann dafür auch noch Geld zu bekommen.
KI ist doch gerade das Buzzword bei dem Geld fließt.

Wir hatten mal BigData welches für Geld gesorgt hat, auchmal Industrie4.0, Blockchain und jetzt halt KI. Das Förder- und Finanzierungssystem funktioniert ja leider oft so, dass jedes noch so sinnvolle Projekt um Finanzierung bangen muss, eine herbeifantasierter Bezug zu den Buzzwords aber den Griff in Fördertöpfe erlaubt.

##############################

Edit: Und ich habe Zweifel, dass die Einführung irgendwelcher LLMs großartig etwas bewirken kann. Die Kultusministerien der Länder machen grob Vorgaben was im Unterreicht erreicht werden soll. Die Umsetzung obliegt dann den Schulen und Lehrern. Entsprechend ist da viel Raum die Nutzung nicht, schlecht, halbherzig bis hevorragend zu machen.

Am anderen Ende wird ja auch gegen Digitales gearbeitet. Es gibt recht pauschale Verbote von Smartphones. Den Kindern wird also nichtmal versucht beizubringen, welche Optionen es gibt sich mit moderner Technik zu organisieren.
 
  • Gefällt mir
Reaktionen: Ben99
Die KI enthält wohl alles, aber nicht die Wahrheit.
Totgeburt.
 
Rickmer schrieb:
Ich würde dem noch nicht zutrauen, für wirklich komplexe Themen ordentliche Übungsaufgaben zu stellen und dann auch kontrollieren zu können ob die Antworten richtig sind.
Ich machs genauso...Allerdings prüfe ich eben auf plausibilität.
Ich geh davon aus, dass die Freundin das eben nicht stur glaubt sondern eben hinterfragt. Ebenso, wenn ein Lehrer Matheaufgaben oder Physik Aufgabe von chatgpt erstellen lässt...spart Arbeit...das ich dss am Ende gegenprüfen muss, steht ausser Frage.

Und gerade Stoff bis zum Abi ist keine Hexenwerk...wieso soll da ein angepasstes und geprüftes Model nicht helfen?
Ergänzung ()

mojitomay schrieb:
Die KI enthält wohl alles, aber nicht die Wahrheit.
Just ein klassischer hate ohne Substanz
 
  • Gefällt mir
Reaktionen: GeCKo127, Teropet und prayhe
Azghul0815 schrieb:
wenn ein Lehrer Matheaufgaben oder Physik Aufgabe von chatgpt erstellen lässt...spart Arbeit...das ich dss am Ende gegenprüfen muss, steht ausser Frage.
Da würde ich ja erwarten, dass nach wenigen Dekaden Physik- und Matheunterricht über grundlegend gleiche Themengebiete das Angebot an bestehenden Aufgaben schon erschöpfend groß ist. Vor allem Aufgaben die im Zweifelsflall auch schon mit Musterlösungen versehen sind.

Wäre Imho arg Zeitverschwendung sich da als Lehrer hinzusetzen, Fragen generieren zu lassen und dann selber erschöpfend zu prüfen.
Effizienter Einsatz von Technologie ist manchmal auch festzustellen, dass es sinnvoll wäre die Technologie nicht zum Selbstzweck zu verwenden.
 
Stöf schrieb:
Dies zu 100%. Es ist absolut gruselig wie ein Forum, welches sich um Technologie und Fortschritt dreht, inzwischen so durchdrungen ist von den immer gleichen Stammtischparolen. Macht immer weniger Spaß hier in die Kommentare zu sehen.
Geht halt nicht um Technologie per se, sondern um die Umsetzung - in diesem Fall vor allem wer dahintersteht.
Gibt halt nicht viele positiv-Beispiele, wo staatliche Maßnahmen qualitativ gleich oder auch nur annähernd mit privatisierten Optionen standhalten können.
 
racer3 schrieb:
Bin gespannt wie es wird, wenn wir nicht mehr die intelligentesten auf der Erde sind.
Vermutlich geht der Kampf um Geld und Macht weiter, denn das ist die einzige Konstante in der Geschichte.
Ja, darauf bin ich auch schon mega gespannt. So wie es aussieht, werden wir das auf jeden Fall noch erleben.
Gerade was mit der Wirtschaft passieren wird, würde mich brennend interessieren. Wenn Menschen ihre Arbeitszeit nicht mehr am Markt verkaufen müssen, liegen wir dann den ganzen Tag in der Sonne und lassen uns von Maschinen bedienen? Fragen über Fragen 😅

Dann stellt sich auch nicht mehr die Frage ob Kapitalismus oder Kommunismus oder was ganz anderes, das ist dann alles obsolet. Kanns kaum erwarten.
 
  • Gefällt mir
Reaktionen: racer3
Piktogramm schrieb:
Da würde ich ja erwarten, dass nach wenigen Dekaden Physik- und Matheunterricht über grundlegend gleiche Themengebiete das Angebot an bestehenden Aufgaben schon erschöpfend groß ist. Vor allem Aufgaben die im Zweifelsflall auch schon mit Musterlösungen versehen sind.
Klar gibts da gesammelte Werke, aber es giobt eben Menschen, die nicht mit 50 Jahre alten Textaufgaben und Dampfloks arbeiten, sondern Schüler gerne Motivieren---z.b. sowas:

Textaufgabe: "Valorant-Match mit Variablen"


Phoenix
hat in einem Match x Heiltränke gefunden. Jeder Heiltrank gibt ihm 20 Lebenspunkte zurück.


Sage hilft ihm zusätzlich und heilt ihn mit 3-mal so viel Lebenspunkten, wie Phoenix durch die Tränke bekommt.


Am Ende hat Phoenix 240 Lebenspunkte mehr als vorher.


Frage:
Wie viele Heiltränke x hat Phoenix gefunden?

Ein Lehrer ist eben nicht nur da um stupide Wissen zu vermitteln...
Ergänzung ()

Piktogramm schrieb:
Die Umsetzung obliegt dann den Schulen und Lehrern. Entsprechend ist da viel Raum die Nutzung nicht, schlecht, halbherzig bis hevorragend zu machen.
Auich hier gibts es gravierende Unterschiede. KI sinnvoll eingesetzt entlastet und KI wird bleiben...das ist ein neues Werkzeug, wie es anno dazumal die Internetsuche und Google war oder wie hier, die Möglichkeit in einer Community Dinge von erfahreneren Usern und Enthusiasten zu lernen.
 
  • Gefällt mir
Reaktionen: GeCKo127
chr1zZo schrieb:
Man merkt immer wieder, dass Brain.exe immer weniger gestartet wird. Das beweisen die Sozialen Medien und der dort hinterlegte Inhalt nur allzu oft. Fette machen Werbung für billige Laufbänder und zeigen uns auch jeden Tag aufs neue, dass Fett doch schön sein soll,...
Brain.exe findet gleich sechs Fehler auf einmal...
Den Rest schenke ich mir mal, zu korrigieren.
Übrigens: Ich habe noch nie Werbung für Laufbänder gemacht oder propagiert, dass ich fett sein schön fände. :rolleyes:
 
  • Gefällt mir
Reaktionen: racer3, Teropet und Piktogramm
@Azghul0815
Nenn mich Spießer, aber zum Lernen an der Schule gehört u.a. auch, dass man einfach mal Ding tut, die nicht auf einen zugeschnitten sind. Also nicht nur und damit jedes bisschen Kreativität ersticken, aber es gehört genauso dazu.

Und Volerant ist USK16, an sich sollte der simple Dreisatz vor dem 16. Lebensjahr auf dem Lehrplan stehen und selbst mit 16 Lenzen (zwei Jahre vor der Volljährigkeit) würde ich eine solchen Ansatz der Verkindlichung für falsch halten. Allenfalls wäre eine Diskussion sinnvoll, wo Schüler·innen Beispiele suchen, wo das Gelernte (Dreisatz) sinnvoll zum Einsatz kommen kann. Damit die Lernenden selber den Bezug zu ihrem Leben herstellen (und lernen Gelerntes selbstständig zu übertragen).
 
  • Gefällt mir
Reaktionen: the_IT_Guy
FrAGgi schrieb:
Man sollte die generierten Übungsaufgaben natürlich nochmals checken. Ich hoffe ja sehr, dass seine Frau die nicht einfach nimmt und dann verteilt :p
Azghul0815 schrieb:
Ich geh davon aus, dass die Freundin das eben nicht stur glaubt sondern eben hinterfragt. Ebenso, wenn ein Lehrer Matheaufgaben oder Physik Aufgabe von chatgpt erstellen lässt...spart Arbeit...das ich dss am Ende gegenprüfen muss, steht ausser Frage.

Als Lehrer, der die Aufgaben selbstständig erstmal lösen und dadurch prüfen kann - klar, kein Problem.

Aber der originale Text auf den ich geantwortet hatte klang für mich, als ginge es um eine Studentin, die sich von der KI selbst Übungsaufgaben erstellen lässt für den Zweck der Klausurvorbereitung.
Da kann man mMn durchaus von ausgehen, dass eine ungeeignete Fragestellung oder falsche Antwort von der KI nicht auf ersten Blick erkannt wird.
 
Ein deutsches GPT, wenn ich nicht lache. Selbst innerhalb der EU lachhaft, der größte Investor ist aktuell Frankereich "in Planung", liegt jedoch auch daran die Atomkraft zu rechtfertigen als wichtige Stromquelle für den EU KI-ACT. Deutschland GPT, von deutschen, für Deutsche Sicherheit. Sorry, warum denke ich da an die rechtsextreme AFD. Das Rennen läuft fast ausschlich zwischen den USA und China.
 
Piktogramm schrieb:
Nenn mich Spießer,
Ich nenn dich nicht Spiesser, aber Altbacken und Pädagogik und Psychologie sagt eben, man lernt Dinger leichter und schneller mit Spass und Freude und mit Dingen die ich mir vorstellen vorstellen kann.

Das du nun Valorant mit USK 16 aufbringst, zeigt mir nur, dass du meinen Ansatz nicht verstanden hast.
Das ein 16 Jähriger 3Satz kennen sollte, da sind wir uns einig. Ich hab nur exemplarisch von ChatGPT eine Aufgabe für Klasse 5 Realschule im Bereich Algebra erstellen lassen...Ob ich da nun Valorant, Fortnite oder auch in höheren Klassen eine Aufgabe mit Wahrscheinlichkeiten und Würfeln im DnD Style erstellen lasse, ändert nichts an meiner Aussage...
Ergänzung ()

Rickmer schrieb:
Aber der originale Text auf den ich geantwortet hatte klang für mich, als ginge es um eine Studentin, die sich von der KI selbst Übungsaufgaben erstellen lässt für den Zweck der Klausurvorbereitung.
Ich bin ja auch kein Python Coder oder kenne mich mit Linux so gut aus, dass ich jedes Shell Script schnell runterschreiben kann. Dennoch kann ich einen automaisch von ChatGPT erstellen Code (es werden ja auch Kommentare eingefügt) Nachvollziehen und verifizieren, bevor ich ihn einfach so laufen lasse.
Ähnlich stelle ich es mir halt vor, wenn ich im Studium bin. Solange ich nur schon vorhanderesn Wissen verifiziere, sehe ich kein allzu grosses Risiko...glaube ich Blind was da ausgespuckt wird...anderes Thema...aber das hatten wir ja schon bei der Internet suche
Es steht im Internet und deshlab muss es war sein ist genau so invalide wie "aber ChatGPT hat das gesagt"
 
  • Gefällt mir
Reaktionen: Teropet und prayhe
Das stinkt wieder nach Fördergelder abgreifen. Der Ansatz ist nicht schlecht, die Umsetzung ist aber wieder an der aktuellen Entwicklung vorbei.

Ein destiliertes Llama 70b Model von Meta, was man nicht einmal freigibt zum selbst hosten. Dann spricht man von Rechtssicherheit. Wobei man genau weiß, dass die Trainingsdaten von Llama das nicht sind. Dazu verlangt man noch exorbitante Preise bei mangelnder Funktionalität.
Das kann selbst mit kleineren Opensource Modellen nicht mithalten. Die lassen sich teilweise sogar auf Smartphones lokal nutzen.
 
Richtig nice! So muss das eingesetzt werden. 3.3 70B reicht auch Dicke für das, was man in der allgemeinbildenden Schule lernt.
Ein ambitioniertes, aber wichtiges Projekt.

Ich nutze auch diverse GenAI-Modelle, um mir Neues beizubringen und Denkanstöße zu geben. Warum auch nicht? Es ist super, es geht schneller und auch Google ist mit LearnLM an sowas dran.

Die Geschichte hat Potenzial und, wenn man es jetzt früh und richtig angeht, auf jeden Fall Zukunft.
 
  • Gefällt mir
Reaktionen: prayhe
Azghul0815 schrieb:
Ähnlich stelle ich es mir halt vor, wenn ich im Studium bin. Solange ich nur schon vorhanderesn Wissen verifiziere, sehe ich kein allzu grosses Risiko...glaube ich Blind was da ausgespuckt wird...anderes Thema...aber das hatten wir ja schon bei der Internet suche
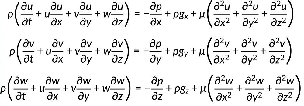
Wie ich initial geschrieben hatte, für mich ist das Beispiel Strömungsmechanik...
... und nicht der Bernoulli Stromfaden, der ist einfach, sondern wirklichen Übungsbedarf hatte ich bei Naviar Stokes und anderen echt komplexen Themen.

Das fängt damit an und wird mit anderen Koordinatensystemen nur noch länger:
1746533175635.png


Da gibt es kein 'Schema F', sondern da muss man lernen das Scenario zu erkennen, die korrekten Annahmen zu stellen und dann zu vereinfachen bis man überhaupt eine Chance hat, etwas zu berechnen ohne Workstation und Simulationssoftware.

Und wenn man dafür eine Übungsaufgabe generieren lässt, muss die KI auch die richtige Antwort dazu generieren können, weil als Student der noch am üben ist wird's sonst unmöglich.
 
@Rickmer
Das mag halt ein Ende der Skala sein. Ist ja alles ein Spektrum und vermutlich klappt das im Grundstudium auch besser als gegen Ende beim Master. Deshalb ists ja nicht Grundsätzlich schlecht.
Ich arbeite mittlerweile auch in der IT ohne jemals eine Ausbildung oder Studium gemacht zu haben (hab mal Chemie mir Schwerpunkt molekularer Biotechnologie studiert) und komm ganz gut zurecht.

Andernfalls...ich sag immer Challenge Acceptet. Lass doch mal eine Aufgabe von der AI kreieren und schau selbst nach, wie gut das klappt.
 
Weyoun schrieb:
Brain.exe findet gleich sechs Fehler auf einmal...
Den Rest schenke ich mir mal, zu korrigieren.
Übrigens: Ich habe noch nie Werbung für Laufbänder gemacht oder propagiert, dass ich fett sein schön fände. :rolleyes:
Hat auch keiner von dir geredet? Aber bei Fett hast du dich wohl angesprochen gefühlt? ^^
 
Rickmer schrieb:
Da gibt es kein 'Schema F', sondern da muss man lernen das Scenario zu erkennen, die korrekten Annahmen zu stellen und dann zu vereinfachen bis man überhaupt eine Chance hat, etwas zu berechnen ohne Workstation und Simulationssoftware.
Darf ich fragen, warum du das überhaupt noch lernst, wenn es in ein paar Jahren oder spätestens wenigen Jahrzehnten so oder so Maschinen gibt, die dir auf so gut wie jede Frage eine 99.9999 % korrekte Antwort liefern können?
Da gibste dann nur noch die Aufgabe bzw. Fragestellung ein und bekommst in Millisekunden die richtige Antwort. Klar schadet es nicht, diese selbst überprüfen zu können oder man überlässt diese Überprüfung eben nochmals 3 weiteren Modellen um ganz sicher zu gehen.
 
Azghul0815 schrieb:
Andernfalls...ich sag immer Challenge Acceptet. Lass doch mal eine Aufgabe von der AI kreieren und schau selbst nach, wie gut das klappt.
Navier-Stokes bekomm ich nicht mehr hin, ich bin mittlerweile selbst in der IT.

Dafür habe ich folgende Fachwissen-Testfrage, die ein aktuelles Projekt als Grundlage hat:
As a professional PowerShell developer, please write a script to assist with migrating mailboxes from an old three-server DAG to a new three-server DAG in Exchange. The script should automatically create the required number of new mailbox databases, ensuring that no database exceeds 500GB in size. Additionally, it should evenly distribute mailboxes across the new databases for optimal load balancing. The script should handle all necessary steps, including the creation of the databases, mailbox moves, and ensuring an even distribution of mailbox data across the new DAG.

Llama 3.3 70B versagt da kläglich.

Große thinking Modelle wie DeepSeek R1 (DeepThink) und dessen Konkurrenten sind da deutlich besser, aber nicht perfekt.

dedication schrieb:
Darf ich fragen, warum du das überhaupt noch lernst, wenn es in ein paar Jahren oder spätestens wenigen Jahrzehnten so oder so Maschinen gibt, die dir auf so gut wie jede Frage eine 99.9999 % korrekte Antwort liefern können?
Weil das noch immer die Grundlagen sind die benötigt werden um die Frage sauber stellen zu können und die Antwort zu verstehen?...

Auerdem: Sollen jetzt alle Bus-, Taxi- und LKW-Fahrer ihren Job schmeißen, weil die eh irgendwann in unbekannter Zukunft durch selbstfahrende Fahrzeuge ersetzt werden?
 
Zuletzt bearbeitet:
Zurück
Oben