HyEnd
Lt. Junior Grade
- Registriert
- März 2008
- Beiträge
- 373
Hey Leute,
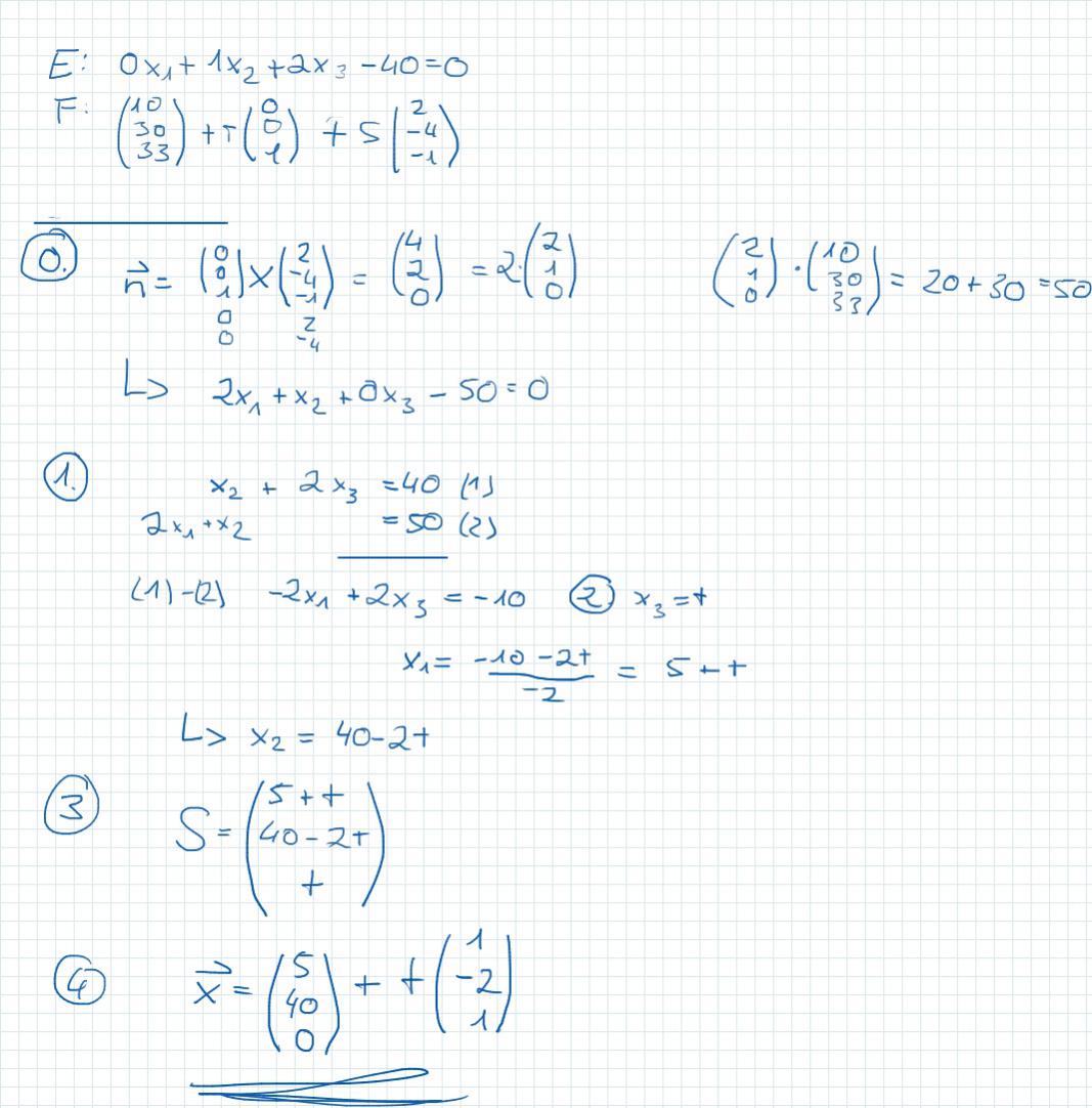
ich schreib am Mittwoch Langklausur in Mathe, und da kommt alles aus der Oberstufe dran, also auch die analytische Geometrie.
Da wir am Donnerstag Fachtag Mathe hatten, hab ich noch ne Aufgabe rumliegen, die nicht gelöst wurde. Dabei geht es um die Bestimmung einer Schnittgerade von 2 Ebenen.
E1: x=(0|0|20) + r*(1|0|0) + s*(0|2|-1)
E2: (0|1|2)#x-40=0
x= gesuchter Vektor
#=Skalarprodukt
Nun hat mir mein Lehrer, um die Gleichung zu lösen, gesagt, dass ich ja E1 in E2 für x einsetzen kann, also steht da:
(0|1|2)#((0|0|20) + r*(1|0|0) + s*(0|2|-1))-40=0
nun stellt sich mir die Frage, wie ich da weiterrechnen soll. Meiner Ansicht muss ich doch jetzt das Skalarprodukt ausmultiplizieren, oder? Oder kann ich die Gleichung so in ein System mit 3 Gleichungen setzen, sodass ich dann einfach das Skalarprodukt als ein "normales" Produkt behandeln kann?
Ich hoffe auf gute Antworten
ich schreib am Mittwoch Langklausur in Mathe, und da kommt alles aus der Oberstufe dran, also auch die analytische Geometrie.
Da wir am Donnerstag Fachtag Mathe hatten, hab ich noch ne Aufgabe rumliegen, die nicht gelöst wurde. Dabei geht es um die Bestimmung einer Schnittgerade von 2 Ebenen.
E1: x=(0|0|20) + r*(1|0|0) + s*(0|2|-1)
E2: (0|1|2)#x-40=0
x= gesuchter Vektor
#=Skalarprodukt
Nun hat mir mein Lehrer, um die Gleichung zu lösen, gesagt, dass ich ja E1 in E2 für x einsetzen kann, also steht da:
(0|1|2)#((0|0|20) + r*(1|0|0) + s*(0|2|-1))-40=0
nun stellt sich mir die Frage, wie ich da weiterrechnen soll. Meiner Ansicht muss ich doch jetzt das Skalarprodukt ausmultiplizieren, oder? Oder kann ich die Gleichung so in ein System mit 3 Gleichungen setzen, sodass ich dann einfach das Skalarprodukt als ein "normales" Produkt behandeln kann?
Ich hoffe auf gute Antworten