Gibt es außerirdisches Leben (auf der Erde)?

dann möchte ich von dir wissen, wie du das beispiel mit der mehrstufigen rakete bewertest. jetzt mal abgesehen von der technischen unmöglichkeit dass eine stufe eine andere mit c abschießt, es soll nur ein theoretisches modell sein um die srt zu hinterfragen. die einzelnen stufen hängen unmittelbar mit der vorherigen zusammen. jede für sich bleibt innerhalb der srt, da sie "nur" c zur vorherigen stufe erreicht. soweit so gut. aber wie verhält sich die geschwindigkeit der letzten stufe zum ausgangspunkt? nach srt haben sich die stufen nie voneinander getrennt, da bereits die erste stufe c zum ausgangspunkt hat. de facto haben sich die stufen aber getrennt und auch riesige distanzen zur jeweils vorherigen aufgebaut. und jede stufe erreicht das ziel um c schneller als die vorherige stufe. und auch ergibt die beobachtung eine abweichung zur realität: von einer stufe aus betrachtet nähert sich laut SRT dann das zielt mit c an wärend die vorherige stufe sich mit c entfernt. folgerichtig würde die vorherige stufe dem ziel nicht näherkommen. von der aus betrachtet kommt sie aber auch mit c dem ziel näher. was ist realität? nähert sich die vorherige stufe dem ziel oder nicht? auch da scheitert die SRT. sie beschriebt imho immer nur die beobachtung zweier punkte unmittelbar zueinander.

und dann war da ja noch die zweite geschichte mit dem zwillingsparadoxon: wenn der zwilling in der raumfähre das 40 lj entfernte ziel in 18,5 minuten lebenszeit erreicht, wie schnell war er dann?
nach meinem dafürhalten haben wir hier keine zeitreise, sondern der zwilling in dem raumschiff erlebt die echte geschwindigkeit während der auf der erde nur die beobachtete geschwindigkeit c sehen kann. die letzten bilder von der landung seines zwillings brauchen ja schon 40 jahre zur erde, darum sieht es für ihn folgerichtig so aus als habe sein bruder 40 jahre für die reise gebraucht. eine andere messung ist nicht möglich, da die information einfach so lange braucht.

würde mann beobachtungen mehrerer inertialsysteme miteinander vergleichen, ergeben sich wie man sieht vollkommen unterschiedliche ergebnisse. man spricht von paradoxen, aber ich glaube dass es kein paradoxon gibt, sondern schlicht die beobachtungen durch den verzerrten informationsfluss von der realität abweichen und diese abweichung wird exakt von der SRT wiedergegeben. folgt man meiner theorie und deutet die SRT als beobachtung sind zumindest alle paradoxon aufgelöst.
negative folge: zeitreisen bleiben unmöglich
positive folge: überlichtschnelle reisen sind potentiell möglich
 
Zuletzt bearbeitet:
  • Gefällt mir
Reaktionen: Schwachkopp
Der Reisende, der 40lj in 18,5min zurücklegt, erlebt nun mal diese Erfahrung. Anders gesagt, für einen externen Beobachter wird die Reise immer 40 Jahre dauern. Da die SRT nun vorraussetzt, dass c konstant ist, muss die Zeit sich beugen, in dem sie für den, der sich solch einer Geschwindigkeit aussetzt, langsamer läuft. Das Atomuhrenexperiment[1], [2], [3] hat genau das auch zum Vorschein gebracht.
 
Zuletzt bearbeitet:
Der Reisende, der 40lj in 18,5min zurücklegt, erlebt nun mal diese Erfahrung.
aber wie schnell ist das? jetzt haben wir ein paradoxon innerhalb des inertialsystems: 40 lj in 18,5 min. ist >c. du sagst nicht die geschwindigkeit wächst, sondern die zeit schrumpft.

Da die SRT nun vorraussetzt, dass c konstant ist, muss die Zeit sich beugen, in dem sie für den, der sich solch einer Geschwindigkeit aussetzt, langsamer läuft.
genau das ist der knackpunkt. wenn die zeit davon abhängt, von wo man sie betrachtet, ist die zeit plötzlich keine feste größe mehr. da ist für mich der umstand, dass die srt nicht die realität sondern die beobachtung wiederspiegelt der ungleich plausiblere fall.

aber mal ein anderer gedanke: in wie weit unterscheiden sich unsere betrachtungsweisen eigentlich im ergebnis?
ich sage der reisende legt die entfernung schneller zurück, für den beobachter sieht es aber so aus als vergingen 40 jahre weil die informationen so lange brauchen um zu ihm zu kommen.
du sagst er kann die entfernung nicht schneller zurücklegen, aber die zeit beugt sich. für den beobachter vergeht die zeit anders und darum sind es von da auch 40 jahre und der reisende macht eine zeitreise.

das resultat ist erstmal das gleiche, richtig? pilot bewältigt strecke von 40 lj in 18,5 min, beobachter stellt fest pilot braucht für 40 lj 40 jahre.
nur du sagst die zeit ist keine konstante größe und ich sage c ist kein physikalische grenze.
ist da wirklich ein elementarer unterschied oder sind das verschiedene betrachtungen der gleichen sache? denn immer wenn du die geschwindigkeit gem. srt beugst, beugst du auch die zeit. ich sage die zeit ist eine konstante größe und komme somit auf ein konstantes verhältnis von strecke zu zeit und damit spielt c keine rolle. im ergebnis besteht der unterschied darin, dass du sagst die unterschiedlichen beobachtungen basieren auf abweichenden realitäten von inertialsystem zu inertialsystem und ich sage realitäten und zeit sind gleich, aber die beobachtungen weichen aufgrund der informationsverzögerungen von der realität ab.

fast vergessen: @Schwachkopp:
Das Feld müsste sich ja überall dort wo gemessen wird so einstellen, dass die Abweichungen der Atomuhren ziemlich genau die durch die spezielle Relativitätstheorie zu erwartenden Ergebnisse liefern. Die Uhren müssten quasi durch das Feld zielgerichtet manipuliert werden damit man immer schön die scheinbaren Auswirkungen der SRT zu sehen bekommt.
ich unterstelle, dass der minimalst verzögerte verfall generell eine auswirkung der schnellen bewegung durch das magnetfeld ist, wärend du auf der erde stehend in einem kaum bewegten magnetfeld stehst. möglicherweise ist die bewegung des magnetfeldes auf der erde auch die ursache dafür, dass auch atomuhren nicht exakt gleich gehen und daher immer wieder neu synchronisiert werden müssen nur ist das bei den auf der erde stehenden uhren halt sehr viel seltener der fall, da das feld sich ja überwiegend mit der erde bewegt. aber wie schon gesagt, das ist nur ne theoretische möglichkeit eines externen einflusses, die ich mir auf die schnelle aus dem ärmel geschüttelt hab. ich bin kein ingeneur von atomuhren. ich weiß nur dass sie zwar annähernd exakt sind, aber nicht gänzlich und dass die atomuhr in dem flugzeug tatsächlich eine abweichung zu den stationierten auf der erde aufgewiesen hat.
 
Zuletzt bearbeitet:
aber wie schnell ist das?
Fast Lichtgeschwindigkeit (0,999995c siehe Beitrag #4656). :D
Für den Reisenden verkürzt sich die Zeit von 40 Jahren auf 18,5 min und trotzdem ist der Reisende nicht schneller als c. Du würdest als Insasse sagen, dass du mit >c gereist wärest, weil du eben für eine 40lj Strecke nur 18,5min gebraucht hast. In Wahrheit macht du aber eine Zeitreise in die Zukunft von fast 40 Jahren. Alle Abläufe auf dem Schiff laufen für dich "normal", für den Beobachter (die Erde beispielsweise) draußen, quälend langsam. Oder anders gesagt, du als Insasse merkst nicht, dass du 40 Jahre unterwegs bist.
Ich merke schon, dass ich an meine Grenzen stoße, wenn es darum geht, sowas jemandem zu erklären. :D Ich bin kein Physiker, daher bin ich nicht in der Lage dir das näher zu bringen und ich weiß auch nicht, wie ich es besser Argumentieren könnnte. :) Wir bräuchten hier jemanden, der sowas studiert hat.
 
Oder man schaut sich einfach Videos dazu an :) Ist ja nicht so, dass es da nichts von Harald Lesch gibt wenn es deutsch sein muss. Alternativ kann man sich Videos von Neil DeGrasse Tyson, Brian Cox oder Michio Kaku anschauen. Gibt dazu ja zig Stunden auf youtube.
 
Lübke schrieb:
dann möchte ich von dir wissen, wie du das beispiel mit der mehrstufigen rakete bewertest. jetzt mal abgesehen von der technischen unmöglichkeit dass eine stufe eine andere mit c abschießt, es soll nur ein theoretisches modell sein um die srt zu hinterfragen.
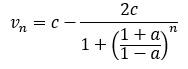
Das ist eine Stelle an der man dann doch unbedingt beachten muss, dass die Geschwindigkeiten der einzelnen Stufen für sich gesehen nie ganz die Lichtgeschwindigkeit erreichen. Aus der relativistischen Geschwindigkeitsaddition ergibt sich dann, dass c erst nach unendlich vielen gezündeten Raketenstufen erreicht wird (vom Standpunkt eines äußeren Beobachters aus gesehen).

Sagen wir jedes Raketenmodul würde mit 99% der Lichtgeschwindigkeit (bzw. mit dem a-fachen) von dem jeweils vorangegangen Modul wegfliegen. Dann würde für die erste Stufe gelten
v1.jpg

wobei a = 0.99 ist bzw. im allgemeinen Fall immer kleiner 1. Für die 2. Stufe gilt dann
v2.jpg

und für die n-te Stufe ergibt (ich hoffe hab mich nicht verrechnet^^)
vn.jpg

Das gilt natürlich auch für Betrachter die auf einer der Raketen sitzen und eine weitere Stufe beim Wegfliegen beobachtet. Dann ist n einfach die Anzahl der dazwischenliegenden Stufen. Wie man sieht erreicht man nie ganz die Lichtgeschwindigkeit, egal von wo aus man das Geschehen betrachtet. Damit vn gleich c wird muss man n gegen unendlich gehen lassen, was unendlich vielen Raketenstufen entspricht. Wenn man zum Beispiel a=0.99 einsetzt, erhält man v1=0.99 und v2=0.999949c. Wenn man a=1 setzen würde, dann hättest du natürlich recht. Schon beim zünden der ersten bzw. zweiten Stufe würde die SRT versagen.

Lübke schrieb:
und dann war da ja noch die zweite geschichte mit dem zwillingsparadoxon: wenn der zwilling in der raumfähre das 40 lj entfernte ziel in 18,5 minuten lebenszeit erreicht, wie schnell war er dann?
Er fliegt mit 0.999995c. Die Entfernung beträgt 40 LJ solange sich der Zwilling relativ zum Ziel gesehen nicht bewegt. Da er aber fliegt verkürzt sich die Entfernung aus seiner Sicht deart, dass das Ziel in 18,5 Minuten erreichbar ist (hab die Zahlen nicht nochmal nachgerechnet). Es gibt also keine geschwindigkeitsunabhängigen Längen und somit auch keine einheitliche Zeit zwischen zwei Systemen, die sich relativ zueinander bewegen. Das was der reisende Zwilling als Längenkontration 'wahrnimmt', macht sich für den auf der Erde verbleibenden Zwilling als Zeitverschiebung bemerkbar (ok stimmt nicht ganz aber so ungefähr). Längenkontration und Zeitdilatation sind sozusagen zwei Seiten der selben Medaille.

Lübke schrieb:
folgt man meiner theorie und deutet die SRT als beobachtung sind zumindest alle paradoxon aufgelöst.
Wo steht denn deine Theorie? Will grad nicht duzende Seiten nachlesen. :)

Lübke schrieb:
ich bin kein ingeneur von atomuhren.
Ich auch nicht also lassen wir das.^^ Ich hatte dir ja ohnehin schon mehr oder weniger zugestimmt glaub ich.
 
Zuletzt bearbeitet:
@NX84GS:
Du würdest als Insasse sagen, dass du mit >c gereist wärest, weil du eben für eine 40lj Strecke nur 18,5min gebraucht hast. In Wahrheit macht du aber eine Zeitreise in die Zukunft von fast 40 Jahren.
so die theorie. also die SRT ;) aber genau das glaube ich ja gerade nicht. ich bin nicht überzeugt von zeitreisen und halte daher andere erklärungen für plausibler...

@Cool Master: Harald Lesch ist gut, aber Michio Kaku? dein ernst? hast du mal seine sendungen gesehen? über das niveau sind wir hier doch hoffentlich hinaus. außerdem will ich mir nicht die srt erklären lassen, die habe ich verstanden. ich habe aber eine anderslautende theorie, die weder lesch noch sonst wer erklären.

@Schwachkopp:
Wenn man a=1 setzen würde, dann hättest du natürlich recht. Schon beim zünden der ersten bzw. zweiten Stufe würde die SRT versagen.
darum habe ich bewusst den grenzfall gewählt weil ich weiß dass die srt da nicht mehr funktioniert ;)

Es gibt also keine geschwindigkeitsunabhängigen Längen und somit auch keine einheitliche Zeit zwischen zwei Systemen, die sich relativ zueinander bewegen.
ich frag mal bewusst schrittweise: auf dem zielplanet befindet sich eine weitere person. mit welcher geschwindigkeit sieht sie die rakete mit dem zwilling auf sich zukommen?

Wo steht denn deine Theorie? Will grad nicht duzende Seiten nachlesen. :)
meine theorie ist ganz simpel: demnach beschreibt die SRT nicht die realität sondern die beobachtung, die durch die begrenztheit von licht von der realität abweicht. bsp: so können wir z. b. sonnensysteme untersuchen die schon vor jahrmillionen ausgelöscht wurden, von uns aber noch gesehen werden weil sie abermillionen lichtjahre entfernt sind. wir sehen sie, wir vermessen und untersuchen sie, aber defacto existieren sie nicht mehr. selbst wenn wir durch ein wurmloch instant an diese position springen könnten wären sie schon seit millionen von jahren nicht mehr dort.
die ART bildet die realität ab, die SRT das was wir sehen können. die SRT beschreibt ja perfekt die verzögerung, die die informationsübertragung bei lichtgeschwindigkeit verursacht. je schneller sich etwas wegbewegt, des so veralteter sind die bilder, die wir davon sehen und somit wächst die abweichung zwischen realität und beobachtung. bei c beträgt die abweichung dann 100%. in meinem beispiel mit den sonden und der raumstation etwa ist aus sicht der einen sonde nach einem jahr die c-schnelle andere sonde keinen einzigen meter vorrangekommen. in der beobachtung/realität (ART/SRT) der einen sonde ruht die andere sonde. von jedem anderen punkt aus betrachtet aber bewegen sich beide sonden. sind das wirklich abweichende realitäten oder eben beobachtungen die von der realität abweichen? ich behaupte die beobachtung von der sonde aus auf die andere sonde ist schlicht falsch. das bild das die sonde sieht ist ihr mit c gefolgt, darum sieht sie es noch nach einem jahr. das aktuell richtige bild ist nach einem jahr 2 lj entfernt und erreicht unsere sonde daher auch erst in 2 jahren falls sie ab da ruht.

wenn man das als verzögerung der information und nicht als tatsache interpretiert, brauchen wir keine zeitreisen und keine paradoxen um die ereignisse zu erklären, denn die realität ist in dem fall überall gleich und auch die zeit eine allgemeingültige konstante. wir sind nur nicht in der lage die realität beliebig weit oder schnell in echtzeit wahrzunehmen. man kann aber die SRT einsetzen um aus dem messbaren/sichtbaren die realität herzuleiten.

nachteil: der zwilling in der rakete könnte nicht durch die zeit reisen. vorteil: potentiell könnte er aber schneller als das licht fliegen, da c in der ART keine bedeutung hat. da sind c + c = 2c.
demnach kollidieren im cern auch die gegenläufigen teilchen mit ~1,999 c und das mit relativ überschaubarem energieaufwand. (was bei der geringen masse dennoch den energiebedarf für ein bemanntes raumschiff bei c aus menschlicher sicht nahezu unendlich erscheinen lässt, also kein grund zur freude)

würde stimmen was ich sage, wäre das natürlich ein großer nachteil, denn der zwilling in der rakte kann die 40 lj nicht mal eben in 18,5 minuten zurücklegen (es sei denn er reist mit 1.136.432,4 c :lol:). c mit großen objekten bleibt auch weiterhin aufgrund des massiven energieaufwandes unerreichbar, zudem bringt die geschwindigkeit ganz andere probleme mit sich. die kinetische energie mit der kleinste partikel auf die schiffshülle treffen würden, würden jede atombombe wie ein kinderfeuerwerk aussehen lassen. auch beschleunigung und vor allem bremsung wären ein problem. den bremsweg bei einer notbremsung kann man dann nicht mit der stopuhr sondern nur mit kalendern messen...

es wäre also durchaus wünschenswert wenn ich falsch liege und die ART hier falsch ist und die SRT tatsächlich stimmt und abweichende realtiäten und zeitreisen möglich wären und dafür die geschwindigkeit gedeckelt wäre. aber es erscheint mir falsch, da es zu paradoxen und uneinheitlichen ergebnissen abhängig vom beobachtungspunkt führt, während bei der ART eben keine abweichenden realitäten und paradoxen möglich sind und daher immer funktioniert. simpel gedacht, ich weiß. aber mir erscheint es so einfach plausibler und die unlösbaren fragen der SRT sind dadurch gelöst. die zwillinge feiern auch weiterhin am selben tag geburtstag ;)
 
Ich hab nochmal über a=1 nachgedacht...
Lübke schrieb:
darum habe ich bewusst den grenzfall gewählt weil ich weiß dass die srt da nicht mehr funktioniert ;)
Der Grenzfall tritt aber nie ein wenn deine betrachteten Objekte eine Masse besitzen. :p Außerdem gibt's kein Inertialsystem mehr wenn du dich mit Lichtgeschwindigkeit bewegst bzw. keine Zeit. Die kontrahierten Längen gehen ja in diesem Fall gegen Null, d.h. du erreichst jeden beliebigen Punkt ohne Zeitverzögerung (aus deiner Sicht gesehen). Das macht das zünden weiterer Raktenstufen unmöglich. Der quasi Zeitstopp (aus Sicht eines äusseren, stillstehenden Beobachters) verhindert es. So wirklich geschlagen hast du die SRT nicht find ich, obwohl du ein etwas unphysikalisches Szenario gewählt hast.^^

Bzgl. des Zwillingsparadoxons, also Personen auf dem Zielplaneten sehen die Rakete ebenfalls mit 0.999995c auf sich zukommen.

ART/SRT sind vorsichtig ausgedrückt nicht gerade mein Gebiet aber soweit ich weiß, ist die SRT nur ein Spezialfall der ART, nämlich der Fall bei dem die Raumkrümmung vernächlässigbar klein ist. Daher ist die SRT nur für Inertialsysteme gültig. Also kurz gesagt die ART führt zur die SRT wenn man die Gravitation weglässt. Deshalb sehe ich nicht ein, warum in der ART Geschwindigkeiten größer c auf einmal erlaubt sein sollten. Das wäre ja noch schöner. :p

Ich weiß nicht so recht, was ich zu deiner Aussage die SRT würde nur Beobachtungen beschreiben, sagen soll. Mir ist das irgendwie schon ein bisschen zu philosophisch (werd trotzdem mal drüber nachdenken).^^ Ich meine deine Kernthese zu verstehen obwohl deine Ansicht über die ART imho so nicht stimmt...
Wie auch immer ... letztendlich ist doch jede Theorie auf Beobachtungen angewiesen bzw. Realität ist nicht direkt wahrnehmbar (ein besseres Verb fällt mir einfach nicht ein). Die scheinbaren Paradoxa und beobachtungspunktsabhängigen Ergebnisse stellen jedenfalls mathematisch gesehen kein Problem dar. Das deutet für mich darauf hin, dass die Schwierigkeiten auf unser begrenztes Vorstellungsvermögen zurückzuführen sind, nicht aber auf Unzulänglichkeiten der physikalischen Theorien.

Solange du mir kein Gegenbeispiel konstruieren kannst, welches nicht nur gegen meine Intuition sondern gegen mathematische Prinzipien oder bekannte Beobachtungen verstößt, werde ich weiterhin von der Richtigkeit der SRT/ART ausgehen und insbesondere davon, dass die Lichtgeschwindigkeit eine reale Grenze darstellt.


Ach ja, wenn du unbedingt Zeitreisen willst, schlage ich einen Umzug ins Gödel-Universum vor ;):
https://de.wikipedia.org/wiki/Gödel-Universum

Dort kann man dann echte Zeitreisen unternehmen (sowohl vorwärts als auch rückwärts in der Zeit) ohne gegen die ART oder SRT zu verstoßen, theoretisch jedenfalls.
 
Zuletzt bearbeitet:
Bzgl. des Zwillingsparadoxons, also Personen auf dem Zielplaneten sehen die Rakete ebenfalls mit 0.999995c auf sich zukommen.
das bedeutet ~40 jahre bis die rakete eintrifft, ja?
wie kann es sein dass die beiden personen auf den beiden punkten eine gänzlich andere wahrnehmung haben? die geschwindigkeit der beiden punkte zueinander ist doch identisch und welcher punkt in einem inertialsystem als fest und welcher als beweglich definiert wird müsste doch egal sein zumal sich tatsächlich beide punkte durch den raum bewegen und die jeweilige geschwindigkeit vom punkt des betrachters aus abhängt.
angenommen der zielplanet liegt näher am zentrum des universums als der startplanet, dann bewegt sich dieser mit ~c vom zentrum des universums weg während die rakete mit c zum eigenen planeten, der ja ebenfalls der expansion des universums unterliegt, annähernd stilltsand zum zentrum des universums. in dem fall ist der beobachter auf dem zielplanet ja der, der sich mit annähernd c an die stehende rakete annähert.

ART/SRT sind vorsichtig ausgedrückt nicht gerade mein Gebiet
wir sind ein computerforum und kein physikforum, daher fürchte ich ist hier wohl niemand anwesend, dessen gebiet das ist ^^

Deshalb sehe ich nicht ein, warum in der ART Geschwindigkeiten größer c auf einmal erlaubt sein sollten.
die frage ist viel mehr, warum sie verboten sein sollten. das einzige argument ist die angeblich unendliche energiemenge, die benötigt würde. ich hatte es ja vorher schon mal gefragt: wie viel sonnenjahre energie verbraucht das cern um seine teilchen auf 99,9995 % c zu beschleuniegen? antwort: <0,001. jede sonne hatt milliarden sonnenjahre, jede galaxie hunderte millarden sonnen und das universum abermilliarden galaxien.
 
Lübke schrieb:
das bedeutet ~40 jahre bis die rakete eintrifft, ja?
Jepp ~40 Jahre und ja die Punkte (Raumschiff und Zielplanet) sind gleichberechtigt. Die unterschiedlichen Wahrnehmungen sind kontraintuitiv aber das kann ja kein Argument dafür sein, dass sie nicht der Realität entsprechen. ;) Für dein neues Beispiel mit der Rakete müsste man wahrscheinlich ein bisschen ausholen nur soviel - es gibt kein Zentrum oder Rand des Universums, das folgt aus der Gleichberechtigung der Punkte... Werd mal nachher versuchen eine ausführlichere Antwort zu formulieren.

Hier gibt's mindestens einen Physiker, wahrscheinlich eher mehr. ;) Lesch ist ja auch einer, trotzdem find ich seine Erklärungen nicht immer so prall.^^ Das allein ist offensichtlich keine ausreichende Qualifikation. Du suchst einen Physiker am besten Schwerpunkt ART/SRT der über ausgezeichnete didaktische Fähigkeiten verfügt, weil das Thema nunmal schwer zu erklären ist. Also ich kann dir nur zustimmen; wird schwer den hier zu finden.

Überlichtgeschwindigkeit ist nicht explizit verboten (siehe Tachyonen). Allerdings kann man zeigen, dass man nicht von Überlicht- auf Unterlichtgeschwindigkeit abbremsen kann bzw. umgekehrt beschleunigen (muss das später nochmal nachlesen). Zudem wurde bisher keine Tachyonen nachgewiesen und die Experimente, die angeblich Geschwindigkeiten > c ergeben haben, sind entweder widerlegt oder lassen sich so interpretieren, dass die SRT nicht verletzt wird. Oder sagen wir so, mir ist kein Experiment bekannt.
 
Zuletzt bearbeitet:
  • Gefällt mir
Reaktionen: Lübke
Jepp ~40 Jahre und ja die Punkte (Raumschiff und Zielplanet) sind gleichberechtigt. Die unterschiedlichen Wahrnehmungen sind kontraintuitiv aber das kann ja kein Argument dafür sein, dass sie nicht der Realität entsprechen. ;)
an der stelle haben wir also wieder zwei abweichende realitäten und dieses mal sogar innerhalb eines einzigen inertialsystems. die beiden treffen sich in 18,5 minuten und gleichzeitig in 40 jahren. trotz dass die beiden punkte gleichberechtigt sind, kommen wir auf massiv abweichende realitäten. du siehst mein problem mit der SRT? ;)
 
Ich meinte mit gleichberechtigt nicht, dass sie sich im selben Inertiasystem befinden. Tun sie ja nicht. Ich meinte damit, dass es egal ist welchen Punkt man als fest und welches als beweglich definiert bzw. das macht nicht viel Sinn das überhaupt festzulegen.

Edit:
Ach ich weiss schon worauf du hinauswillst.^^ Du willst vermutlich wissen warum nicht die Zeit für den Zwilling auf dem Planeten langsamer vergeht anstatt der Zeit des reisenden Zwillings?
 
Zuletzt bearbeitet:
Ich meinte mit gleichberechtigt nicht, dass sie sich im selben Inertiasystem befinden. Tun sie ja nicht.
moment, a und b nähern sich an. wieso sind sie nicht im selben inertialsystem? :confused_alt:
nicht dass wir jetzt aneinander vorbeireden: ich bin jetzt bei dem beobachter auf dem zielplaneten der rakete, nicht bei dem zwilling auf der erde.
 
  • Gefällt mir
Reaktionen: Schwachkopp
Lol sorry hast natürlich Recht. Brauche schlaf.^^ Sobald die Rakete sich mit konstanter Geschwindigkeit auf den Planeten zu bewegt, ist es natürlich das selbe Inertialsystem.
 
Sobald die Rakete sich mit konstanter Geschwindigkeit ...
da muss ich nochmal fragen: zwei punkte nähern sich an, welche relevanz hat hier eine konstante geschwindigkeit für die perspektive der beiden punkte untereinander? bei nem dritten punkt, klar. aber die beiden zueinander können sich doch gar nicht unterschiedlich betrachten, da die frage welche sich bewegt ne reine definitionsfrage ist.
 
Ich hoffe das hier beantwortet alle deine Fragen, auch die aus dem vorigen Beitrag:

Die Zahlen scheinen nicht ganz zu stimmen glaub ich. Ich werde sie daher mal leicht modifizieren. Außerdem finde ich die Werte generell unschön.

Sagen wir der Abstand zwischen der Rakete und dem Ziel wäre 12 LJ. Die Geschwindigkeit des Reisenden sei 0.8c. Ich kürze Reisender mit 'R' und der Planet bzw. das Ziel heisst 'Z'. Beide haben eine Uhr dabei, die bei Beginn der Messung auf Null eingestellt ist. Die Uhren lassen sich leicht synchronieren wenn zum Beispiel Z den Abstand zu R bestimmt, dann ein Lichtsignal an R sendet und die Uhr zeitverzögert startet. R würde in dem Fall die Uhr sofort beim Eintreffen des Signal starten.

Gut also, aus Sicht vom Ziel Z benötigt der Reisende R 15 Jahre um den Planeten zu erreichen (12/0.8 = 15).
Aus der Formel für die Längenkontraktion ergibt sich eine Zeit von 9 Jahren, die die Reise aus Sicht von R dauert.

Nach der Hälfte der Strecke sind 7.5 Jahre aus Sicht von Z vergangen und 4.5 aus der Perspektive von R (wichtig: für Z ist dann aber noch nicht sichtbar, dass R bei der Hälfte angelangt ist). Beide Uhren werden miteinander vergleichen. Z schaut auf seine eigene Uhr und auf die Uhr von R, genauer gesagt auf das durch das Licht übermittelte Abbild dieser Uhr. Umgekehrt macht R auch das Gleiche. Jetz muss man sich fragen wieviel Zeit beim Ziel vergehen muss damit das vom Ziel ausgesendete Licht genau in der Mitte mit R zusammentrifft, denn das bestimmt ja das Bild was R zusehen bekommt.

Antwort: 1.5 Jahren, denn dann ist es in 7.5 Jahren genau in der Mitte. Das heisst R sieht nach 4.5 Jahren Flugzeit die Uhr vom Ziel Z auf der 1.5 Jahren angezeigt werden. Der Reisende stellt somit fest, dass die Zeit von Z 3 mal langsamer vergeht als seine eigene (4.5 Jahre / 1.5 Jahre = 3).

Nun betrachten wir den Uhrenvergleich aus dem Blickwinkel von Z. Wenn R die Mitte erreicht sind in Z's System wie gesagt 7.5 Jahre vergangen. Es dauert weitere 6 Jahre (12/2) bis das Licht das Ziel erreicht. Insgesamt
also 7.5 + 6 = 13.5 Jahre und die Uhr von R zeigt 4.5 Jahre an. Daraus folgt wieder das gleiche Verhältnis:
13.5 Jahre / 4.5 Jahre = 3

Das Ziel macht die gleiche Feststellung wie der Reisende. Die Zeit vergeht im jeweils anderen System 3 mal langsamer. Beide Sichtweisen sind völlig äquivalent obwohl wir ein Objekt als sich in Bewegungung befindlich betrachtet haben und das andere als ruhend. Auf dieser willkürlichen Definition (Z ruht, R bewegt sich) beruht auch die scheinbar unterschiedliche Art der Berechnung der Zeitverhältnisse. Es ist aber möglich diese Berechnung so zu Formulieren, dass man die Äquivalenz besser sieht, mir fällt nur nichts wirklich Gutes dazu ein.^^ Vielleicht könnte man das so aufschreiben:

(Vergangene Zeit bis zur Feststellung, dass R die Mitte erreicht hat)
/ (Uhrenanzeige des jeweils anderen System bei Feststellung, dass R die Mitte erreicht hat)
= Zeitverhältnis

Das funktioniert wenigstens für die beiden untersuchten Fälle. R stellt nach 4.5 Jahren sofort fest, dass er die Mitte erreicht und liest dann die Uhr des anderen, deshalb 4.5/1.5=3. Z stellt nach 13.5 Jahren fest, dass die Mitte passiert wurde und liest dann das ab was beim erreichen der Mitte auf der anderen Uhr stand, daher 13.5/4.5=3.


Ok, wie dem auch sei, die Äquivalenz wird erst aufgehoben wenn R abbremst also das Inertialsystem verlässt (Im Inertialsystem sind alle Objekte in Ruhe oder in gradlinig, gleichförmiger Bewegung). Die Beschleinungung ist nicht mehr relativ (im Gegensatz zu Geschwindigkeiten), d.h. du kannst nicht einfach sagen dass Z abbremsen würde wenn in Wirklichkeit R seine Geschwindigkeit ändert. Wenn das nicht so wäre, gäbe es keine Massenträgheit bzw. keine spürbaren Kräfte. Beide, Ziel und Rakete würden einfach nichts spüren wenn die Beschleunigung/Abbremsung einsetzt. Man kann schon aus der Alltagserfahrung heraus sagen, dass das nicht stimmen kann. Gravitationsverursachte Beschleunigungen bilden übrigends eine Ausnahme aber da es hier um SRT geht lassen wir die Gravitation an der Stelle mal aussen vor.^^

Wenn der Reisende abbremst wissen wir welcher Effekt zu erwarten ist. Er muss langsamer gealtert sein als Z wobei das natürlich unglücklich formuliert ist, eine globale Uhr existiert ja nicht. Die beiden Zeitsysteme müssen sich salopp gesagt angleichen damit er nach der Landung alt 'wird'. Während der Abbremsphase wird die Zeit auf dem Planeten aus Sicht von R wesentlich schneller ablaufen. Dabei spielt es imho keine Rolle wie lange diese Phase dauert. Wenn R extrem schnell bremst sieht er eben auch die Zeit auf dem Planeten von Z extrem schnell ablaufen. Wenn R die Geschwindigkeit Null relativ zu Z erreicht hat, sind beide Zeiten quasi 'synchronisiert' und Z ist ein alter Knacker. ;)

Zu sagen die Uhr eines Systems würde langsamer gehen, macht so gesehen erst Sinn wenn das System beschleunigt oder abbremst ist/wurde....

So, ich hoffe ich hab jetzt hier keine groben inhaltlichen Fehler eingebaut oder mich unverständlich ausgedrückt.^^
Ergänzung ()

Schwachkopp schrieb:
Für dein neues Beispiel mit der Rakete müsste man wahrscheinlich ein bisschen ausholen nur soviel - es gibt kein Zentrum oder Rand des Universums, das folgt aus der Gleichberechtigung der Punkte... Werd mal nachher versuchen eine ausführlichere Antwort zu formulieren.
Das hab ich doch glatt vergessen. Ein andermal...
 
Zuletzt bearbeitet:
  • Gefällt mir
Reaktionen: Lübke
du hast das wirklich gut erklärt. allerdings beantwortet es leider nicht meine letzte frage und funktioniert wieder nur wenn man alle anderen optionen ausblendet ;)
zwei objekte nähern sich an. in dem beispiel waren es rakete und planet, aber benennen wir den planet der einfachheithalber mal auch zu rakete um, damit man auch gedanklich die gleichberechtigung der beiden punkte hat und nicht immer davon ausgeht der planet würde ja feststehen denn wie wir wissen gibt es keinen fixpunkt im raum bis auf den, den wir im einzelfall als solchen definieren.
ich kann ja willkürlich in unserem beispiel auswählen welchen der beiden punkte wir als bewegt und welchen wir als ruhend definieren oder aber auch beide punkte als bewegt. nur die richtung steht fest: beide punkte nähern sich an und verkürzen ihren abstand zueinander um 0,8 lj pro jahr. daher ist es doch schon nicht möglich, dass die sicht der beiden beobachter sich unterscheidet. ich muss ja nur die deffinition ändern und schon würde sich die realität verändern. was wenn jeder von den beiden glaubt der andere fliegt auf ihn zu und er selbst ruht? welche realität zählt dann? oder geben wir jedem beobachter zwei uhren und unterstellen bei der uhr am linken handgelenk der beobachter ist in der bewegten rakete und bei der am rechten handgelenk die rakete ruht und die andere nähert sich, müssten ja schon die beiden uhren unterschiedlich gehen und die person mit einem arm schneller altern als mit dem anderen. und was wenn wir noch beide raketen als gleichschnell definieren? beide nähern sich mit 0,4 c an. dann kann man noch variieren dass eine sich mit 0,2 c bewegt und die andere mit 0,6 c, etc. pp.
imho haben wir hier aber nur eine wirklichkeit, die man aus mehreren perspektiven betrachten kann. und da führt uns zu einem weiteren paradoxon.
 
Zuletzt bearbeitet:
  • Gefällt mir
Reaktionen: Schwachkopp
Die sind völlig gleichwertig bis einer von beiden beschleunigt oder abbremst. Solange zählt nur die Relativgeschwindigkeit zueinander. Es ist egal wen du als bewegt definierst. Eine Beschleunigung ist in der Relativitätstheorie (Gravitation aussen vor gelassen) nicht mehr relativ. Du merkst ja nicht wenn irgendein Objekt, was nicht mit dir verbunden ist eine Beschleunigung erfahrt. Das Objekt spürt ja dann die Massenträgheit und nicht etwas du.

Es kommt also nur darauf an wer seine Geschwindigkeit ändert....

Lübke schrieb:
in dem beispiel waren es rakete und planet, aber benennen wir den planet der einfachheithalber mal auch zu rakete um, damit man auch gedanklich die gleichberechtigung der beiden punkte hat und nicht immer davon ausgeht der planet würde ja feststehen denn wie wir wissen gibt es keinen fixpunkt im raum bis auf den, den wir im einzelfall als solchen definieren.
Das ist kein Problem solange du den Planeten am Ende entgegen oder mit der Flugrichtung der Rakete beleunigst (bin nicht ganz sicher). ;) Das würde die Relativgeschwindigkeit ja verringern nur die Rollen wären getauscht. Bei einer Planetengeschwindigkeit von 0.8c wäre die Rakete dann sozusagen geladen. Diesmal ist der auf der Rakete gealtert.

Edit:
Sorry für die ganzen Edits. Bin fertig. :D
 
Zuletzt bearbeitet:
  • Gefällt mir
Reaktionen: Lübke
Schwachkopp schrieb:
Er fliegt mit 0.999995c. Die Entfernung beträgt 40 LJ solange sich der Zwilling relativ zum Ziel gesehen nicht bewegt. Da er aber fliegt verkürzt sich die Entfernung aus seiner Sicht deart, dass das Ziel in 18,5 Minuten erreichbar ist (hab die Zahlen nicht nochmal nachgerechnet). Es gibt also keine geschwindigkeitsunabhängigen Längen und somit auch keine einheitliche Zeit zwischen zwei Systemen, die sich relativ zueinander bewegen. Das was der reisende Zwilling als Längenkontration 'wahrnimmt', macht sich für den auf der Erde verbleibenden Zwilling als Zeitverschiebung bemerkbar (ok stimmt nicht ganz aber so ungefähr). Längenkontration und Zeitdilatation sind sozusagen zwei Seiten der selben Medaille.
Da gibt es noch ein Punkt, bei welchem ich mir noch nicht sicher bin. Was zeigt am Schluss der Tacho des Reisenden an? 40 LJ, oder 332.998.335 km. 40LJ sind das, was er wirklich zurück gelegt hat, 332.998.335 km aber was er nach seinen erlebten 18,5 min hätte zurücklegen müssen.
 
  • Gefällt mir
Reaktionen: Lübke
ok, wer seine geschwindigkeit ändert... woher auch immer die physik weiß wer seine geschwindigkeit geändert hat, denn der effekt tritt ja erst ein wenn die geschwindigkeit anliegt und ich weiß nicht ob die physik sich für bereits vergangene zustände interessiert ;)
auf jeden fall ein neuer aspekt über den ich erst nachdenken muss...

trotzdem möchte ich das beispiel weiter modifizieren um die SRT zu hinterfragen. sagen wir die raketen sind zeitgleich von unterschiedlichen planeten gestartet und bewegen sich mit jeweils 0,8 c aufeinander zu. wie lange brauchen die raketen dann um sich zu begegnen und wie viel zeit kostet es den jeweiligen astronauten bei den 12 lj distanz? von den planeten aus beobachtet müsste die begegnung ja in 7,5 jahren stattfinden, soweit richtig?

@CCIBS: auch eine sehr gute frage.
 
  • Gefällt mir
Reaktionen: Schwachkopp
Zurück
Oben