robert_s
Lieutenant
- Registriert
- Dez. 2021
- Beiträge
- 698
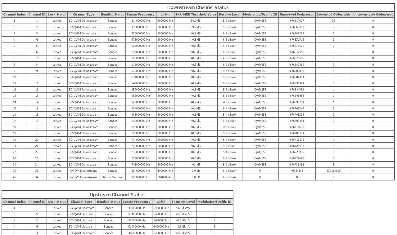
Interessanter finde ich 706MHz, denn dort gibt es trotz nun höheren Empfangspegels mehr Störungen als zuvor. Wie kommt es dazu? Wurde am 25.01.2022 in Deiner Gegend noch nicht das 700MHz-Band für Mobilfunk genutzt, oder ist seitdem das Kabelnetz irgendwo beschädigt worden?floh667 schrieb:edit
hab noch einen screenshot von vor ziemlich genau einem jahr gefunden. 25.1.2022
da war der zweite ofdm noch 60mhz breit und keine frequenzanpassungen seiten vodafones an ihr ursprüngliches netz vorgenommen.
Da kam der ofdm auf 823mhz mit fast 6dB mehr rein. Da sieht man auch nur 1730 unkorrigierbare CW und keine millionen![]()
Die Frequenzumstellung dürfte eine reine Konfigurationsänderung gewesen sein - dadurch entsteht keine LTE-Einstrahlung, besten- bzw. schlimmstenfalls wird bereits bestehende LTE-Einstrahlung dann zu einem (größeren) Problem.
Jedenfalls solltest Du Dich erst mal um die LTE-Einstrahlung kümmern, also die Fehler auf den Kanälen 706/714MHz. TC4400 direkt an den HÜP, korrekte Abschirmung und Erdung sicherstellen, Modem evtl. in eine Blechkiste stecken, falls das selbst einstrahlungsempfindlich ist. Und dann mal schauen, ob Du die Fehlerzähler auf 706/714MHz wieder dauerhaft auf 0 kriegst - dann sieht vielleicht auch der 2. OFDM wieder besser aus.
Sollte das alles nicht helfen, kann es auch mal vorkommen, dass es in der NE3 ein "Leck" gibt. Ich hatte bei mir mal einen Ausfall und danach kam das Signal mit deutlicher DVB-T2 Einstrahlung wieder. Günstigerweise gibt es hier in Berlin einen DVB-T2 Kanal auf 506MHz, der im Kabel nicht genutzt wird, also konnte ich einen DVB-T2 Empfänger ans Kabelnetz anschließen und "Das Erste HD" in bester Qualität empfangen - bis ich im HÜP das Signal trennte, dann war der Signalpegel auf 0. Damit war eindeutig nachgewiesen, dass das Signal nicht ins Hausnetz, sondern einzig "draußen" einstrahlte. Nach ein paar Tagen hat dann wohl jemand den Fehler entdeckt und seitdem ist das Kabelsignal wieder "sauber"...
