F
floh667
Gast
So sieht der Spaß standardmäßig zu den Abendstunden hier mittlerweile aus.

und der jitter ist auch mies
https://www.geschwindigkeit.de/ping-test/202303-173348-21e7.html
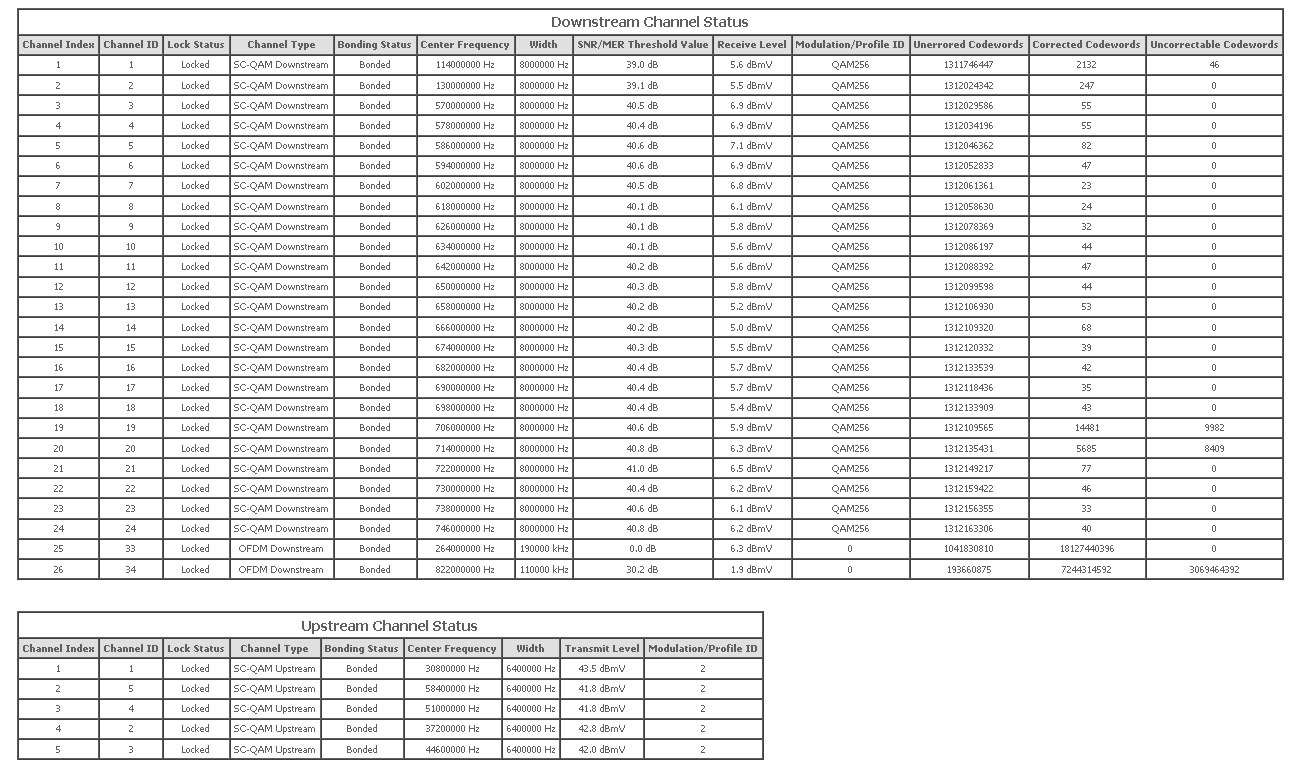
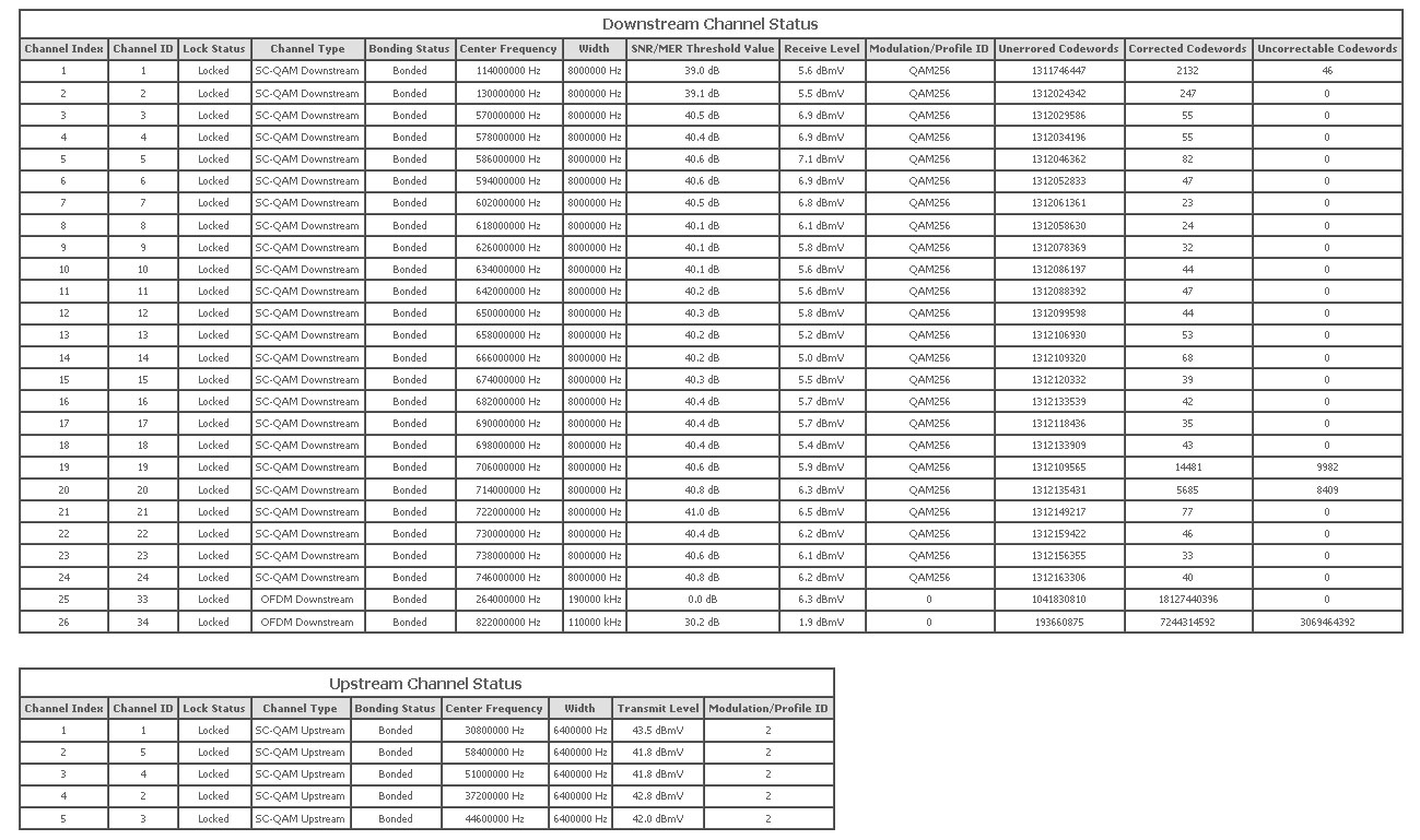
Das Modem spuckt massenhaft MDD timeouts in dieser Zeit und der OFDM hat beinahe 50% unkorrigierbare fehler.
Diesen ganzen Ärger gabs zu Zeiten von unitymedia nicht. Also kauf ich niemandem ab der sagt, das UM netz sei marode. Und wenn es das war, dann hat es vodafone nicht gefixt und quetscht nun nur noch mehr heraus mit einem Standard, der so oder so kaum darauf läuft.



und der jitter ist auch mies
https://www.geschwindigkeit.de/ping-test/202303-173348-21e7.html
Das Modem spuckt massenhaft MDD timeouts in dieser Zeit und der OFDM hat beinahe 50% unkorrigierbare fehler.
Diesen ganzen Ärger gabs zu Zeiten von unitymedia nicht. Also kauf ich niemandem ab der sagt, das UM netz sei marode. Und wenn es das war, dann hat es vodafone nicht gefixt und quetscht nun nur noch mehr heraus mit einem Standard, der so oder so kaum darauf läuft.

