Sondierungs- und Koalitionsgespräche Wahl 2021

Status
Neue Beiträge in diesem Thema müssen von einem Moderator freigeschaltet werden, bevor sie für andere Nutzer sichtbar sind.
Für weitere Antworten geschlossen.
MrMorgan schrieb:
Diese Statistik ist ja auch mit logischer Denkweise nachvollziehbar.

Autobahnen sind gut ausgebaut.
Das schließt ein mögliches schlechteres Verhältnis trotzdem nicht aus.


MrMorgan schrieb:
Meine Leidenschaft sind Autos, Tuning etc.
Das legitimiert zu exakt nichts!
Wenn z.B. die weibliche Hälfte der Bevölkerung, die diese Leidenschaft weniger teilt, dafür aber mehr Angst um ihre Männer, Söhne, Töchter, Enkel etc. hat, und deswegen zum größeren Teil Tempolimits befürwortet, legitimiert diese das auch zu nichts, ist aber mindestens genauso ernst zu nehmen, ggf. vom demokratischen Prozess abgesehen.

MrMorgan schrieb:
Man hat mittlerweile TÜV Vorschriften wo man nur noch die Hände über den Kopf zusammenschlagen muss
Na ja, in der Summe sorgen diese Vorschriften aber eben auch dafür, dass die Zahl der Toten sich vergleichsweise in Grenzen hält.

Auch wenn es bei dir vielleicht nicht populär ist, aber von mir aus kann man die ganze Poser-, Carfreitag und Raserszene im öffentlichen Straßenbereich gerne mit 10.000 mal abschreiben der StvO eine Weile ruhig stellen.

Und ich bin im Übrigen kein Verfechter des Tempolimits auf der AB.
 
_killy_ schrieb:
@Mo @ModellbahnerTT

Die Bauern freuen sich definitiv nicht über das Grüne Wahlprogramm.
Nun, die Bauer sind insgesamt ja ein ziemlich konservatives Völkchen. Wobei konservativ relativ ist. So haben z.B. im Osten ziemlich viele Bauern (ich glaube bis zu einem Drittel) die Linke gewählt. Eine Idee, auf die im Westen vermutlich kein einziger Bauer gekommen ist. Dort ist das Stammwählerschaft der Union mit einer extrem starken Lobby.
Die Grünen in BaWü haben z.B. einen ziemlichen taktischen Fehler gemacht, indem sie die Landwirtschaft in der Koalition der Union überlassen haben und somit die alten Seilschaften natürlich weiter gemacht haben wie vordem. Und die sind nicht eben der Freund der Ökobauern. Diese haben dort schon viel Grün gewählt, merken aber nun, dass sich nicht allzu viel geändert hat.
Interessanterweise wird die Öko Landwirtschaft im benachbarten Bayern am besten gefördert, jedenfalls besser als in BaWü. Trotzdem führt beides zu einem riesigen Überhang der Ökobetriebe im Süden. Beide zusammen über 50%, aber alleine in Bayern, ich glaube, 38% Anteil an allen Ökobetrieben bundesweit. Dass die alle CSU wählen, halte ich dennoch für nicht sehr realistisch.
 
downforze schrieb:
Bei ihr wurde der komplette gebrochene Zahn nicht übernommen, weil es da absurde Einschränkungen gibt (muss Backenzahn sein, muss reparabel sein, k.A.). Sogar die Narkose muss sie selbst bezahlen. Summa summarum blieb sie auf 100% der Kosten sitzen.
Das stimmt sicherlich. Insbesondere, wenn es um Zahnersatz geht. Und das meinte ich mit individueller Situation.

Das eine Betäubung selbst zu bezahlen ist, wäre mir hingegen neu und bezieht sich dann wahrscheinlich darauf, ob die Grundleistung als Privatleistung erbracht wird und entsprechend alle Begleitleistungen vom Patienten zu zahlen sind.

Den Kram haben sich die gesetzlichen Krankenkassen ja auch nicht selbst ausgedacht. Sie folgen damit lediglich der aktuellen Gesetzgebung.

Aber ohne den speziellen Fall im Detail zu kennen, ist eine Bewertung nicht möglich. Und soll hier auch gar nicht stattfinden. So tief stecke ich in dieser speziellen Materie dann auch nicht.
 
downforze schrieb:
Rohstoffe des elementaren Lebens können nicht reduziert werden. Öl oder Gas brauche ich immer. Das gleiche gilt für Wasser oder Strom.
Der Logikfehler bei dieser ganzen Angelegenheit ist, die Verbraucher ohne Alternative zu bestrafen. Dann hat man gefälligst zuerst eine Alternative zu schaffen, die für die breite Masse erschwinglich und verfügbar ist. Ein Tesla Model 3 für 50 k neu zählt sicher nicht dazu. Bezahlbare gebrauchte Elektroautos (70% der Autokäufe sind Gebrauchtwagen) gibt es nicht auf dem Markt.
??? Öl und Gas sind aber nunmal, naja... nicht unbegrenzt verfügbar. Wenn weg... dann weg. Für Strom gilt das nicht, da es praktisch unbegrenzt hergestellt werden kann. Daher wird ja auch bereits teilweise versucht Gas und Öl durch Strom zu ersetzen. Wasser ist theoretisch kein Problem wenn es besser verteilt in trinkbarer Qualität vorhanden wäre. Wie Du siehst sind Öl und Gas gar keinen elementaren Rohstoffe des Lebens (mehr) und eine Reduktion ist alternativlos. Dein Logikfehler ist das es Alternativen längst gibt.
Ich habe wirklich keine Ahnung warum man immer wieder dieses Bestrafungsargument hervorholt. Ich verbuche das einfach unter dem typischen deutschen Herumgejammere. Warum solltest du Dir einen Tesla kaufen wenn es günstigere Alternativen gibt?
downforze schrieb:
Die größte Zahl der Menschen in Deutschland sind Ältere. Daran wird sich in naher Zukunft nichts ändern. Da stirbt niemand weg, es kommen genug nach.
Die anderen Parteien haben aber eine andere Demografie in ihrer Wählerstruktur und da die cdu sich traditionell eher mit der Jugend schwertut werden ihnen die Nachrücker wenig bringen. Parteimitglider sind aber insgesamt stark zurückgegangen, die spd und die fdp haben ähnliche Einbußen. Nennenswerte Zugewinne haben eigentlich nur die afd und die Grünen.
 
Ich finde interessant wie schmutzig der Wahlkampf geführt wird. So viele Medienkampagnen von allen Seiten habe ich noch nie wahrgenommen. Scheint eine ganze Menge Geld zu fließen.
 
Buttkiss schrieb:
Nennenswerte Zugewinne haben eigentlich nur die afd und die Grünen.
Wie man's nimmt!
Die AFD hat die letzten 5 Jahre etwa 15.000 Mitglieder zugelegt, die Grünen 50.000. Die AFD hat zuletzt aber wieder 3000 Mitglieder verloren.
De facto sind die Grünen die einzigen die wirklich zulegen.
Die FDP aktuell immerhin auch mit einem kleinen Zugewinn aber ewig weit weg von den Zahlen im letzten Jahrtausend. Alleine zwischen 90 und 95 90.000 Mitglieder verloren, wohl fast alle Enttäuschte aus den neuen Bundesländern, die sie gerade erst bekommen hatten. Aber Schnee von gestern!

SPD und Union geht's wie den Kirchen. Die Mitglieder fallen vom Glauben ab! ;)
 
Zuletzt bearbeitet:
downforze schrieb:
Rohstoffe des elementaren Lebens können nicht reduziert werden.
Spätestens, wenn es sich um limitierte Ressourcen wie Öl handelt, werden die irgendwann zwangsweise reduziert - auf Null, sobald die Vorräte erschöpft sind.

An die Erdölfelder, Kohlevorkommen, etc. Ist immer schwerer ran zu kommen, daher ist es durchaus sinnvoll, alternative, erneuerbare Ressourcen zu finden, das ist ja mit ein Grund, warum zB Holzpellets als Heizmaterial gefördert wird.
Die Dinger lassen sich ad infinitum herstellen, auch wenn sie den Nachteil haben, das beim verbrennen Abgase entstehen.

Eine Patentlösung für unsere Energieprobleme die die natürlich auch nicht.
Windkraft, Wasserkraft und Solarenergie sie aber nicht überall in ausreichendem Maße installierbar (und auch nicht immer verlässlich genug) um unseren Energiehunger zu bedienen, ich denke, das wir (zumindest mittelfristig) auch noch Verbrennungskraftwerke als Ergänzung benötigen.
Aber die dann gespeist mir erneuerbaren Ressourcen und ausgestattet mit aktuellster Technologie (hohe Effizienz, gute Filter).
 
FunFact zu den Verkehrstoten im Straßenverkehr:

Da die Autos immer sicherer werden sterben weniger Leute direkt beim Unfall sondern landen schwerverletzt im Krankenhaus. Und wer dann an Maschinen angeschlossen nach 3 Wochen im Krankenhaus stirbt, dessen Todesursache ist nicht mehr "Verkehrsunfall" sondern "Organversagen".

Im Jahr 2020 gabs 327.453 Verletzte im Straßenverkehr. Wers nicht glaubt, einfach mal selber googeln, das statistische Bundesamt hat die Zahlen.
Und ein Tempolimit von 120 auf Autobahnen, 80er ausserhalb und 40 innerorts würde daran deutlich was ändern.
 
  • Gefällt mir
Reaktionen: edenjung und henpara
Vigilant schrieb:
Das eine Betäubung selbst zu bezahlen ist, wäre mir hingegen neu und bezieht sich dann wahrscheinlich darauf, ob die Grundleistung als Privatleistung erbracht wird und entsprechend alle Begleitleistungen vom Patienten zu zahlen sind.
Laut GKV-Tante zahlen die wohl nur die einfachste Betäubung. Wer sich einmal nen Zahn so ziehen lassen hat, macht das nie wieder. Dann gibt es noch die Möglichkeit eine Halbnakose mit anschließendem Gedächtnisverlust zu wählen. Das hatte sie. Kostet wohl 85€ in Eigenregie.
Buttkiss schrieb:
Dein Logikfehler ist das es Alternativen längst gibt.
Ich habe wirklich keine Ahnung warum man immer wieder dieses Bestrafungsargument hervorholt. Ich verbuche das einfach unter dem typischen deutschen Herumgejammere. Warum solltest du Dir einen Tesla kaufen wenn es günstigere Alternativen gibt?
Das ist wieder nur halb durchdacht. Öl verwenden wir nicht nur zum Verbrennen. Quasi alle Verpackungen werden ja damit produziert und Kleidung. Und welche Ironie, der komplette Innenraum in Elektroautos besteht aus Plastik. Das aufgeschäumte Zeugs wird übrigens nach dem Ableben des Autos verbrannt.
Wenn es doch angeblich so tolle Alternativen gibt, warum regelt der Markt das nicht selbst? Wie mir scheint, sind diese Alternativen doch nicht so wirtschaftlich. Sieht man ja auch gut an der Stagnation der Elektroautos. Die Verkaufszahlen stagnieren oder sinken außerhalb Europas.
Zum Thema Logik: Es ist schon sehr unlogisch mit dem endlichen Öl als Begründung anzukommen, um dann auf die anderen endlichen Rohstoff Lithium und Kobalt (Kobold für die Grünenwähler) aus fleißigen kongolesischen Kinderhänden zu switchen. Von Coltan aus Ruanda und Nigeria + Neodym aus China fange ich besser gar nicht an. Ich hoffe das war nicht zu viel "Herumgejammere".
Schlau wäre es alternative Industrien zunächst parallel aufzubauen, bis sie sich selbst von der Nachfrage tragen. Eine nicht tragfähige Lösung, die nur durch Verteuerung der Optimallösung im lokalen Markt bleibt, wird sich weltweit niemals durchsetzen.
mykoma schrieb:
Spätestens, wenn es sich um limitierte Ressourcen wie Öl handelt, werden die irgendwann zwangsweise reduziert - auf Null, sobald die Vorräte erschöpft sind.
Das dauert noch etliche Jahrzehnte. Vor Brasilien wurde das drittgrößte Ölfeld der Erde entdeckt.
Ergänzung ()

D0m1n4t0r schrieb:
Im Jahr 2020 gabs 327.453 Verletzte im Straßenverkehr. Wers nicht glaubt, einfach mal selber googeln, das statistische Bundesamt hat die Zahlen.
Und ein Tempolimit von 120 auf Autobahnen, 80er ausserhalb und 40 innerorts würde daran deutlich was ändern.
Und das machst du woran fest? Ein Verletzter im Straßenverkehr bin ich schon, wenn ich besoffen gegen eine Laterne laufe. Und ich sage 130 auf Autobahnen ändert gar nichts an den Zahlen. Noch absurder sind die 30 (ja, ich weiß da steht 40) in Städten. Da bin ich ja mit dem Fahrrad schneller.
 
Zuletzt bearbeitet:
  • Gefällt mir
Reaktionen: e-ding
downforze schrieb:
Wenn es doch angeblich so tolle Alternativen gibt, warum regelt der Markt das nicht selbst? Wie mir scheint, sind diese Alternativen doch nicht so wirtschaftlich. Sieht man ja auch gut an der Stagnation der Elektroautos. Die Verkaufszahlen stagnieren oder sinken außerhalb Europas.

Der Markt regelt nur die Güterallokation und Ressourcenverteilung von knappen Rohstoffen, da aber die in Zukunft der gesellschaft entstehenden externen Kosten nicht inkludiert sind, kann der Markt sie überhaupt nicht regeln da kein Mechanismus in die Preisbildunng inkludiert ist. Genau da setzt die Idee der CO2 Bepreisung oder der CO2 Zertifikate an.
 
  • Gefällt mir
Reaktionen: KitKat::new()
downforze schrieb:
Das dauert noch etliche Jahrzehnte.
Die Umstellung auf alternative Ressourcen ebenso.

Nehmen wir Deutschland als Beispiel, bräuchten wir zB für die Anpassung an erneuerbare Energien ein deutlich ausgebautes Stromnetz, das baut sich flächendeckend nicht in ein paar Monaten und damit wird es vermutlich auch nicht getan sein, da der Bedarf an Strom weiter steigt.
Und in dem Entwicklungsplan geht es erstmal "nur" um gut 10 Jahre bis 2030.
Und seien wir ehrlich: das wird eher länger dauern als kürzer.

Einfach sagen "es ist noch genug da" ist in meinen Augen zu engstirnig und zu kurzfristig gedacht.
 
D0m1n4t0r schrieb:
[...]
Und ein Tempolimit von 120 auf Autobahnen, 80er ausserhalb und 40 innerorts würde daran deutlich was ändern.

Nein. Das ist einfach eine Behauptung.

Sieht man ja in anderen Ländern, welche Tempolimits haben.
 
downforze schrieb:
(...)Und das machst du woran fest? Ein Verletzter im Straßenverkehr bin ich schon, wenn ich besoffen gegen eine Laterne laufe. Und ich sage 130 auf Autobahnen ändert gar nichts an den Zahlen. Noch absurder sind die 30 (ja, ich weiß da steht 40) in Städten. Da bin ich ja mit dem Fahrrad schneller.
Derartige Nebelkerzen sind m. E. eine Beleidigung der Intelligenz der Forumsteilnehmer.

Die Punkte:

  • Unfallwahrscheinlichkeit (Länge Bremsweg)
  • Unfallschwere (Anzahl an Toten und Schwerverletzten)
  • Verbrauch (Liter pro km)

stehen im direkten Zusammenhang mit der Höhe der Geschwindigkeit.

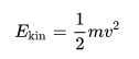
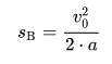
Der Bremsweg, die Bewegungsenergie sowie der Luftwiderstand sind (in der Regel) direkt proportional zum Quadrat(!) der Geschwindigkeit.

Doppelte Geschwindigkeit -> Vierfacher Bremsweg, Vierfache Bewegungsenergie, Vierfacher Luftwiderstand

Das ist unwiderlegbare Physik...

Bremsweg:

1625290318612.png


Bewegungsenergie:
1625290389676.png


Luftwiderstand:

1625290459540.png


Dreimal v^2.
 
Zuletzt bearbeitet von einem Moderator:
  • Gefällt mir
Reaktionen: edenjung und KitKat::new()
downforze schrieb:
Laut GKV-Tante zahlen die wohl nur die einfachste Betäubung. Wer sich einmal nen Zahn so ziehen lassen hat, macht das nie wieder. Dann gibt es noch die Möglichkeit eine Halbnakose mit anschließendem Gedächtnisverlust zu wählen. Das hatte sie. Kostet wohl 85€ in Eigenregie.
Das ist natürlich... hart. Ich habe dabei die Worte unseres Zahnarztes im Ohr: "Es gibt heute kein Grund, warum ein Patient bei der Behandlung Schmerzen haben muss". Bisher war das auch so. Egal, ob Füllung erneuern, Krone ersetzen oder Wurzelbehandlung. Als GKV-Versicherter.

Aber gut. Back to topic.
 
mykoma schrieb:
An die Erdölfelder, Kohlevorkommen, etc. Ist immer schwerer ran zu kommen,
Bis sich das wirtschaftlich nicht mehr lohnt wird man versuchen alles herauszuholen was man beschleunigen kann mit den günstiger werdenden Alternative.
D0m1n4t0r schrieb:
Und ein Tempolimit von 120 auf Autobahnen, 80er ausserhalb und 40 innerorts würde daran deutlich was ändern.
Alle Sicherheitssysteme als Pflicht für Autos würde vermutlich genauso gut wirken ohne Tempolimit.
mykoma schrieb:
Die Umstellung auf alternative Ressourcen ebenso.
Je mehr wir in die Forschung stecken desto geringer die Zeit für eine sinnvolle Umsetzung.
mykoma schrieb:
Nehmen wir Deutschland als Beispiel, bräuchten wir zB für die Anpassung an erneuerbare Energien ein deutlich ausgebautes Stromnetz, das baut sich flächendeckend nicht in ein paar Monaten und damit wird es vermutlich auch nicht getan sein, da der Bedarf an Strom weiter steigt.
Das glaube ich aber nur auf lokaler Ebene da man ansonsten E-Fuels und co. herstellen kann und dies an der Stelle wieder zu Energie umwandeln kann wo man diese braucht.
 
@Binalog im Grunde stimme ich dir zu, aber Thema ist hier die Bundestagswahl, das würde doch arg von der Thematik abdriften und wäre eher etwas für einen separaten Thread.

Idon schrieb:
Sieht man ja in anderen Ländern, welche Tempolimits haben.
Die Gegenseite hat allerdings schon Quellen geliefert, die der Ansicht sind, das ein Tempolimit die Unfallzahlen senken würde.
Ich kenne die Zahlen anderer Länder nicht, aber du hast da ja offenbar etwas gesehen, dann zeig uns doch einfach einen Vergleich der Statistiken.

ModellbahnerTT schrieb:
glaube ich aber nur auf lokaler Ebene
Sieht das BMWI anders und auch wenn unsere Ministerien nicht immer die beste Arbeit machen, klingen deren Begründungen für mich durchaus plausibel.
Außer du hast Quellen, die was anderes belegen.
E-Fuels werden meiner Ansicht nach eher für Fahrzeuge eine Alternative sein und weniger für Haushalte oder die Industrie.
 
Es wurde vor einigen Tagen oder wenigen Wochen einmal eine Studie oder ein Artikel (ganz sicher bin ich mir nicht mehr) von Versicherungen zum Thema Tempolimit verlinkt.

Das ist mehr Quelle als du bisher geliefert hast.

Raussuchen kannst du dir den Link selbst.
 
  • Gefällt mir
Reaktionen: smuper
mykoma schrieb:
Sieht das BMWI anders und auch wenn unsere Ministerien nicht immer die beste Arbeit machen, klingen deren Begründungen für mich durchaus plausibel.
Vielleicht ist es derzeit so aber sowohl im Verkehr als auch für die Reserve falls es zu Stromengpässen kommt halte ich E-Fuels für sinnvoll. Auch hätten die E-Fuels den Vorteil den im Norden vorhandenen Strom auch zu verwerten statt Windkraftanlagen abzuschalten. Im Gegensatz zum BMWI geht ich davon aus das die Entwicklung schneller geht als es das BMWI denkt.
 
Status
Neue Beiträge in diesem Thema müssen von einem Moderator freigeschaltet werden, bevor sie für andere Nutzer sichtbar sind.
Für weitere Antworten geschlossen.
Zurück
Oben