Technische Informatik (FH), Mathematik

Also ich fand das Niveau ziemlich hoch. Vielleicht hatte ich aber auch einfach nur einen Professor, der den Stoff nicht richtig an den Mann bringen konnte. In meinem Jahrgang sind in jeder Matheprüfung etwa die Hälfte durchgefallen. Gut, dass man da noch zwei Versuche hat.

Vom Stoff her geht es ziemlich Querbeet. So sah es bei mir aus:

Mathe I
Mengen und Mengenoperationen
boolesche Algebra
Relationen: Äquivalenzrelationen und -klassen
Funktionen: injektive, surjektive, bijektive Funktionen, Umkehrfunktion, Verkettung von Funktionen, trigonometrische und Arcusfunktionen
Zahlentheorie, Teilbarkeit, Primzahlen, größter gemeinsamer Teiler, modulare Arithmetik und Kongruenzrelation, Prüfziffern
Algebraische Strukturen: Gruppen, Ringe, Körper, Rechnen in Zm, erweiterter euklidischer Algorithmus
Summenzeichen*
Kombinatorik: Summen- und Produktregel, Permutationen und Kombinationen, Binomialkoeffizienten

*Es gab, ungelogen, Leute, die nicht wussten, was das ist. Genauso mit dem Multiplikationszeichen. Da fragt man sich schon, was heute in den Schulen noch gelehrt wird.

Mathe II
Analytische Geometrie in der Ebene: Vektoren, Winkel, Skalarprodukt, Geraden
Komplexe Zahlen
Analytische Geometrie im Raum: Vektoren, Spatprodukt, lineare Unabhängigkeit
Lineare und affine Abbildungen im R2 und R3: 2D- und 3D-Transformationen, Matrizen
Vektorräume: Vektorräume, Unterräume, Basis, Dimension
Lineare Abbildungen und Matrizen: Kern und Bild linearer Abbildungen, der Dimensionssatz
Der Gauß-Algorithmus
Fehlerkorrigierende Codes

Mathe III*
Wahrscheinlichkeitsräume (Kolmogorow-Axiome)
Laplace-Zufallsexperimente
stochastische Unabhängigkeit von Ereignissen
bedingte Wahrscheinlichkeiten
Formel von Bayes
Zufallsvariablen
Erwartungswert
Varianz und Standardabweichung
Spezielle Wahrscheinlichkeitsverteilungen (Binomial-, hypergeometrische, Poisson-, Gaußsche Normalverteilung)

Irgendwann müssen sie Mathe III geändert haben. Ich hatte da zusätzlich noch Integral- und Differenzialrechnung im Schnelldurchgang. Das Fach war nämlich nur ein halbes und dementsprechend weniger CP gab es dafür.


Da ich den Master hinher mache, gibt es noch mal ein Semester Mathe mit diesen Inhalten:
Gruppentheorie: Gruppenaxiome, Homomorphismen und Isomorphismen, Untergruppen und Nebenklassen, Satz von Lagrange, Ordnung von Gruppenelementen, zyklische Gruppen
Ringe und Körper: Ring- und Körperaxiome, Zahlentheorie, invertierbare Elemente, Euler‘sche phi-Funktion, kleiner Satz von Fermat, RSA-Verfahren, Primzahlbestimmung
Polynome: Der Polynomring, Polynomdivision, irreduzible Polynome, Faktorisierung von Polynomen, Konstruktion endlicher Körper
Fouriertransformation: Wiederholung komplexe Zahlen, Einheitswurzeln, Fundamentalsatz der Algebra, Exponentialfunktion in der komplexen Ebene, diskrete und schnelle Fouriertransformation, Anwendung für Polynommultiplikation und –faltung, Ausblick auf Anwendungen in der Signal- und Bildverarbeitung
Stochastik: Wahrscheinlichkeitsräume, Zufallsvariable, Erwartung, bedingte Wahrscheinlichkeit, Unabhängigkeit, Satz von Bayes mit Anwendungen in Informatik und Bioinformatik, Bernoulli-, Binomial- und geometrische Verteilung, Anwendungen in der Informatik (z. B. probab. Quicksort, Fingerprinting)

Ich grusel mich jetzt schon davor. :(


@diejenigen, denen Mathe einfach fällt
Ihr seid die Ausnahme! Die Mehrheit empfindet Mathe als recht schwer. Es gibt keinen Grund, warum man so arrogant von oben herab schauen muss.
 
"Ihr seid die Ausnahme! Die Mehrheit empfindet Mathe als recht schwer. Es gibt keinen Grund, warum man so arrogant von oben herab schauen muss. "
Schöner Satz, informativer Post, danke. Also mir fällt Mathe auch schwer, ich muss und ich will es schaffen, daher ja die Vorbereitung.
 
Du hast ja die richtige Einstellung, daher wirst du es bestimmt schaffen. Wo ein Wille ist, ist auch ein Weg ;-) Viel Erfolg!
 
Also mir fällt Mathe auch schwer, ich muss und ich will es schaffen,

Ist wirklich nur Willenssache, auch wenn es keine 1,x wird. ;) Vor allem da die Übungen wohl etwas schwerer sind als die eigentlich Klausur.


Vom Stoff her geht es ziemlich Querbeet. So sah es bei mir aus

Sah bei mir auch ähnlich. Hier Mathe I und II. Da ich kein reiner Informatiker bin, gab es kein Mathe III (ist Numerik und nochmehr DGLs). Stattdessen habe ich noch Stat I + II.

I. Mathematik I 1
1. Grundbegriffe 3
1.1. Aussagen ............................... 3
1.1.1. Aussagen ........................... 3
1.1.2. Aussageformen ........................ 3
1.1.3. All-undExistenzquantor................... 4
1.1.4. Verkn¨ upfungvonAussagen ................. 4
1.2. Mengen ................................ 5
1.3. Relationen............................... 8
1.3.1. Ordnungsrelationen...................... 9
1.3.2. ¨ Aquivalenzrelationen ..................... 11
1.4. Abbildungen.............................. 13
1.5. Beweisprinzipien ........................... 15
1.5.1. DerdirekteBeweis ...................... 15
1.5.2. BeweisdurchKontraposition................. 16
1.5.3. BeweisdurchWiderspruch .................. 16
1.5.4. Vollst¨andige Induktion¨ uberN................ 17
2. Algebraische Strukturen: Gruppen, Ringe, K¨orper 19
2.1. Rechnen inZ,PrimzahlenundTeiler ................ 19
2.1.1. ModulareArithmetik..................... 20
2.1.2. DerEuklidischeAlgorithmus................. 21
2.1.3. DerkleineSatzvonFermat ................. 24
2.2. Die Mathematik hinter Public-Key-Verfahren der Kryptographie . 25
2.3. Gruppen................................ 27
2.3.1. Untergruppen ......................... 30
2.3.2. Gruppenhomomorphismen .................. 33
2.4. Ringe und K¨orper........................... 35
2.4.1. Ringe ............................. 35
2.4.2. K¨orper............................. 37
2.5. Der K¨orperderkomplexenZahlen.................. 40
i
Inhaltsverzeichnis
3. Lineare Algebra 47
3.1. Vektorr¨aume.............................. 47
3.1.1. DasAxiomensystemundBeispiele.............. 47
3.1.2. Exkurs:Axiomensysteme................... 52
3.1.3. DieSummenschreibweise ................... 54
3.2. Untervektorr¨aume,BasisundDimension .............. 55
3.2.1. Untervektorr¨aume....................... 55
3.2.2. Lineare Unabh¨angigkeitundBasen ............. 58
3.3. DerFaktorraum............................ 63
3.4. Normierte R¨aume........................... 66
3.5. Geometrie imR
n
........................... 72
3.6. Lineare Abbildungen ......................... 78
3.7. Matrizen und lineare Abbildungen . . . ............... 87
3.7.1. Matrixrechnung ........................ 87
3.7.2. Die Abbildungsmatrix einer linearen Abbildung . . .... 91
3.8. LineareGleichungssysteme ...................... 97
3.8.1. L¨osbarkeitstheorie....................... 98
3.8.2. DerGauß-Algorithmus .................... 100
3.9. Basiswechsel.............................. 104
3.10.Determinanten ............................ 110
3.11. Eigenwerttheorie . .......................... 116
4. Analysis – Teil I: Konvergenz und Stetigkeit 125
4.1. DiereellenZahlen........................... 125
4.2. Wurzeln, Fakult¨atenundBinomialkoeffizienten........... 127
4.3. KonvergenzvonFolgen........................ 130
4.3.1. DerKonvergenzbegriffundwichtigeBeispiele ....... 131
4.3.2. Konvergenzkriterien ..................... 138
4.3.3. Teilfolgen und H¨aufungswerte ................ 140
4.4. Asymptotik .............................. 141
4.5. Reihen ................................. 145
4.5.1. AbsoluteKonvergenz ..................... 148
4.5.2. DasCauchy-Produkt ..................... 152
4.6. Konvergenz in normierten R¨aumen ................. 154
II. Mathematik II 163
4.7. StetigkeitreellerFunktionen ..................... 165
4.7.1. Der Grenzwertbegriff f¨ urFunktionen ............ 165
4.7.2. Stetigkeit ........................... 168
4.7.3. EigenschaftenstetigerFunktionen.............. 172
4.8. StetigkeitvonFunktionenmehrererVariablen ........... 174
4.9. Potenzreihen.............................. 180
ii
Inhaltsverzeichnis
4.10.WichtigeFunktionen ......................... 187
4.10.1. Exponentialfunktion und Logarithmus ........... 187
4.10.2.TrigonometrischeFunktionen ................ 189
4.10.3.DiePolardarstellungkomplexerZahlen ........... 194
4.10.4.HyperbolischeFunktionen .................. 195
5. Analysis – Teil II: Differential- und Integralrechnung 197
5.1. DifferenzierbarkeitvonFunktionenineinerVariablen ....... 197
5.1.1. DerAbleitungsbegriff..................... 197
5.1.2. Ableitungsregeln ....................... 200
5.1.3. H¨ohereAbleitungen...................... 205
5.2. EigenschaftendifferenzierbarerFunktionen ............. 208
5.3. Extremwerte.............................. 218
5.4. PartielleAbleitungen ......................... 220
5.5. TotaleDifferenzierbarkeit....................... 227
5.6. ExtremwertproblemeinmehrerenVariablen ............ 235
5.7. Integration inR............................ 238
5.7.1. DefinitiondesbestimmtenIntegrals............. 238
5.7.2. StammfunktionenundderHauptsatz ............ 245
5.8. Integrationstechniken ......................... 248
5.9. UneigentlicheIntegrale ........................ 255
5.10.Fourierreihen ............................. 258
6. Gew¨ohnliche Differentialgleichungen 267
6.1. ProblemstellungundMotivation................... 267
6.2. Elementare L¨osungsmethoden .................... 270
6.2.1. Getrennte Ver¨anderliche ................... 270
6.2.2. HomogeneDifferentialgleichungen .............. 273
6.2.3. LineareDifferentialgleichungenersterOrdnung....... 274
6.3. SystemevonDifferentialgleichungen................. 277
6.3.1. LineareSysteme........................ 278
6.3.2. LineareSystememitkonstantenKoeffizienten ....... 280
6.4. Differentialgleichungen h¨ohererOrdnung .............. 284
6.5. Existenz-undEindeutigkeitsresultate ................ 289
Tabelle der griechischen Buchstaben 291
Index

Algebra (also allgemeine und nicht lineare) kam auch irgendwann am Ende noch dran. .
 
Zuletzt bearbeitet:
Da haben wir schon das erste Problem;)
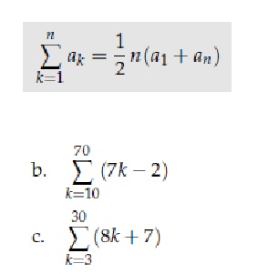
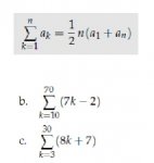
Das grau hinterlegte ist die Formel, die 2 darunter sind Beispiele.
Mein Problem ist jetzt, k ist nicht 1! Das Ergebnis ist immer zu groß.....
Jemand eine Idee?
PS Das ist keine Hausaufgabe etc...... das ist eine Aufgabe aus dem Buch aus meinem ersten Post.

Danke schonmal
 

Anhänge

  • formel.jpg
    formel.jpg
    13,7 KB · Aufrufe: 323
k und n bedeuten, dass der Definitionsbereich von a im Bereich [k, n] liegt.
Wenn da also steht: k=10 und n=70, dann durchläuft a jeden Wert von 10 bis 70.

So als Tipp. ;)
 
Danke, ist mir schon klar. Aber wenn ich das in die Formel einsetze, wird das Ergebnis zu groß.
zu b
1/2(70)[(7x10)-2)+((7x70-2)] =19460
Laut Buch muss aber 16958 das Ergebnis sein...
 
Zuletzt bearbeitet von einem Moderator:
Edit:
Das ist eine einfach Subtraktionsaufgabe. Darauf hättest du wirklich selber kommen müssen.

Edit 2:
Korrigierte Formel.
 

Anhänge

  • Unbenannt.png
    Unbenannt.png
    2,1 KB · Aufrufe: 278
Zuletzt bearbeitet:
Ja eben, das ist ja mein Problem. Gibt es da eine Formel für den Fall Fall das k nicht 1 ist? In meinem Tafelwerk oder in dem Buch aus der ich die Aufgaben habe, steht nur die Formel drin.
@e-Laurin
Ok, danke.... Kopf rastet in Tischplatte ein...;) das kam mir zu einfach vor...
Komisch, es fehlen immer noch 30?
 
Zuletzt bearbeitet von einem Moderator:
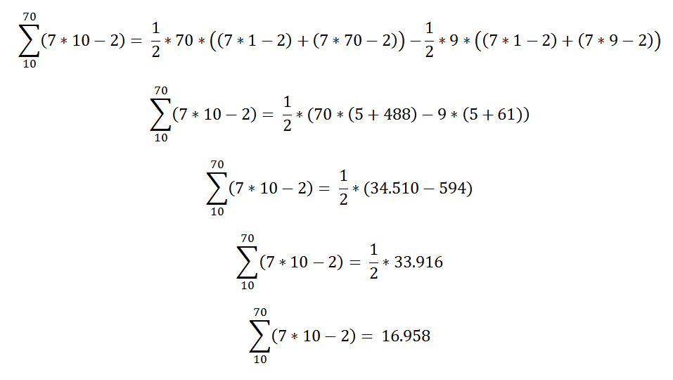
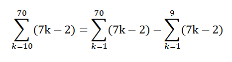
Die Formel beginnt bei 1, bei der Aufgabe beginnt die Summe aber erst bei 10, also musst du die Summe bis 9 noch abziehn. und für a1 musst du auch a1 einsetzen und nicht a10.
 
Blöd ist nur, da fehlt 30. Andere Aufgaben auch mit diesem weg ausprobiert. Es fehlt immer was. Vergess ich da was?
1/2(70)[(7(1)-2))+(7(70)-2) -1/2(9)[(7(1)-2))+(7)9-2)]
=16928
Im Buch steht aber als Lösung 16968
 

Anhänge

  • attachment.png
    attachment.png
    2,1 KB · Aufrufe: 238
Zuletzt bearbeitet von einem Moderator:
Du musst Klammern übersehen oder die Prioritäten der Operatoren nicht beachtet oder einen Zahlendreher haben. Beim Nachrechnen komme ich exakt auf das Ergebnis, das dein Buch dir vorgibt.

16.958 = 17.255 - 297
 
Danke:)
Ich schiebe es mal auf die Uhrzeit. Danke
Bin ich besoffen?
Die selben Zwischenergebnisse habe ich auch. Bei mir sind aber 17225-297=16928?
Rechne mal 17.255-16.958=267? oOoOoO. (Taschenrechner und der auf mein PC geben das selbe aus;))
 
Zuletzt bearbeitet von einem Moderator:
Bei mir kommt 16.958 raus. Mit dem Windows-Taschenrechner.

Und das, 17.255-16.958, ergibt bei mir 297.
 
Kann nicht sein! Ich habe es nochmal schriftlich gerechnet. 17.255-16.958, es kommt 267 raus.
Auch 17225-297 auch schriftlich =16928. Irgendwas läuft hier was falsch...
 
Zuletzt bearbeitet von einem Moderator:
17.255 - 16.958 = 297
Keine Ahnung, was du da rechnest.

Im Anhang sind zwei verschiedene Arten, das auszurechnen.
 

Anhänge

  • Unbenannt.png
    Unbenannt.png
    13,7 KB · Aufrufe: 251
  • Unbenannt1.png
    Unbenannt1.png
    13,9 KB · Aufrufe: 232
Den selben Rechenweg habe ich auch. Nur scheitert es an so was enfachen. Komisch ist halt, ich habe 3 Taschenrechner ausprobiert, schriftlich gerechnet, und den von Win benutzt. Mein Ergebnis ist immer 267.
 
Hast du den Post von hasugoon beachtet? Nicht, dass du jetzt mit ganz anderen Zahlen rechnest...
 
Zurück
Oben