News AMD-Prozessoren: Threadripper 3000 und Ryzen 9 3950X im November

Ich habe mal ein bisschen gerechnet. Was haltet ihr davon?

Man kann tatsächlich theoretisch nachweisen (vorausgesetzt man akzeptiert die Annahmen), dass es eine Selektionskonkurrenz bei der Effizienzgüte gibt.

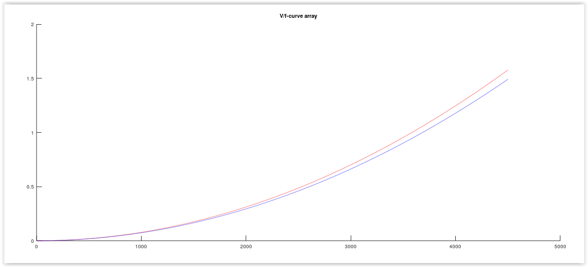
Wir machen mal ein paar Annnahmen. Die Volt-Frequenz-Kurven nehmen wir als parabelförmige Kurven an, da die Spannung quadratisch mit der Frequenz steigt. Außerdem sind die Kurven alle in (0,0) aufgehängt. Hier mal ein Beispiel mit zwei Chiplets unterschiedlicher Güte:
823716


Der dazugehörige Octave Code ist folgender.
Code:
clc
close all

% f1(4200) = 1.375 <=> a1*4200^2 = 1.375 <=> a1 = 1.375/4200^2;
% f2(4200) = 1.3 <=> a2*4200^2 = 1.3 <=> a2 = 1.3/4200^2;

f1 = @(f) (1.375/4200^2)*f.^2;
f2 = @(f) (1.3/4200^2)*f.^2;

potential_ratio = (f2(2200) - f1(2200))/(f2(4200) - f1(4200))
% E=0.5*C*U^2
energy_ratio_high = f1(4200)^2/f2(4200)^2
energy_ratio_low = f1(2200)^2/f2(2200)^2

f_v = 0:4500;

figure
hold on
title ("V/f-curve array");
plot(f_v, f1(f_v),'r');
plot(f_v, f2(f_v),'b');
hold off

Das Verhältnis der Energie bleibt bei jedem Spannungs-Frequenz-Paar gleich.

E1/E2 = 0.5*C*U1^2/0.5*C*U2^2 = (U1/U2)^2 = (a1*f^2/a2*f^2)^2 = (a1/a2)^2 -> const, wenn a1 und a2 const

Man würde als rund 12% Energie sparen mit einem gebinnten Epyc bei 2.2GHz unter Volllast bezogen auf die obige Beispiel. Die große Frage ist dennoch: sind die gebinnten Chiplets nach oben hin auch automatisch besser taktbar?
 
Zuletzt bearbeitet von einem Moderator:
  • Gefällt mir
Reaktionen: Rockstar85 und HAL9001
Bin gespannt ob die neuen 3900X besser Takten als die ersten.
 
ZeroStrat schrieb:
Die große Frage ist dennoch: sind die gebinnten Chiplets nach oben hin auch automatisch besser Taktbar?
Ich glaub nicht, daß da eine Korrelation besteht, vielleicht als Faustformel. Meiner Meinung nach werden die am besten gebinnten immer noch für EPYC benutzt um da den Effizienzvorsprung zu haben. Danach wird eben nach Taktung gebinnt und auf die Desktopmodelle verteilt. Ich glaub, daß das Thema Effizienz bei CPUs ein extrem weites Feld ist und der Microcode logischerweise mit reinspielt. Aber ohne das passende Grundmaterial (Chipgüte), wird bei Servern wenig zu holen sein.
 
  • Gefällt mir
Reaktionen: ZeroStrat
DriveByFM schrieb:
Viel geiler ist die Doppelmoral hier, erst kaufen alle Intel und machen AMD fertig weil sie nix hinbekommen, nun hat AMD mal was geschafft und plötzlich ist Intel der Böse und wehe es wird ein 9900k empfohlen dann gehts richtig los. 😂

Das liegt wohl eher daran, dass für die breite Masse ein 9900k mit Erscheinen der neuen Zen2 einfach wenig Sinn macht. Eigentlich gibt es nur noch ein einzigen Used Case: Ich will das absolute Maximum in Spielen und der Preis spielt keine Rolle. Dann musst aber ordentlich investieren um eine signifikante Mehrleistung zu erhalten (OC, gute Kühlung, teurer Speicher, RAM OC). Ist also nicht schwer zu verstehen warum der 9900k eine Empfehlung eigentlich nur noch für diesen Fall ist.

Die Verkaufszahlen im DIY Bereich sprechen da eine deutlich Sprache. Dass Intel bei OEMs immer noch mehr als nur ein Bein in der Tür hat ... geschenkt. AMD könnte eine derartige Nachfrage wohl auch gar nicht bedienen.
 
  • Gefällt mir
Reaktionen: greeny112 und yummycandy
ZeroStrat schrieb:
Ich habe mal ein bisschen gerechnet. Was haltet ihr davon?

Man kann tatsächlich theoretisch nachweisen (vorausgesetzt man akzeptiert die Annahmen), dass es eine Selektionskonkurrenz bei der Effizienzgüte gibt.

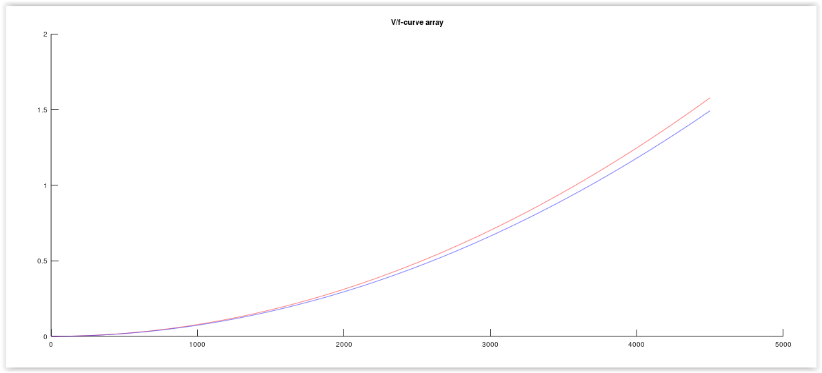
Wir machen mal ein paar Annnahmen. Die Volt-Frequenz-Kurven nehmen wir als parabelförmige Kurven an, da die Spannung quadratisch mit der Frequenz steigt. Außerdem sind die Kurven alle in (0,0) aufgehängt. Hier mal ein Beispiel mit zwei Chiplets unterschiedlicher Güte:
Anhang anzeigen 823716

Der dazugehörige Octave Code ist folgender.
Code:
clc
close all

% f1(4200) = 1.375 <=> a1*4200^2 = 1.375 <=> a1 = 1.375/4200^2;
% f2(4200) = 1.3 <=> a2*4200^2 = 1.3 <=> a2 = 1.3/4200^2;

f1 = @(f) (1.375/4200^2)*f.^2;
f2 = @(f) (1.3/4200^2)*f.^2;

potential_ratio = (f2(2200) - f1(2200))/(f2(4200) - f1(4200))
% E=0.5*C*U^2
energy_ratio_high = f1(4200)^2/f2(4200)^2
energy_ratio_low = f1(2200)^2/f2(2200)^2

f_v = 0:4500;

figure
hold on
title ("V/f-curve array");
plot(f_v, f1(f_v),'r');
plot(f_v, f2(f_v),'b');
hold off

Das Verhältnis der Energie bleibt bei jedem Spannungs-Frequenz-Paar gleich.

E1/E2 = 0.5*C*U1^2/0.5*C*U2^2 = (U1/U2)^2 = (a1*f^2/a2*f^2)^2 = (a1/a2)^2 -> const, wenn a1 und a2 const

Man würde als rund 12% Energie sparen mit einem gebinnten Epyc bei 2.2GHz unter Volllast bezogen auf die obige Beispiel. Die große Frage ist dennoch: sind die gebinnten Chiplets nach oben hin auch automatisch besser taktbar?
Kann nur von meinem begrenzten Erfahrungsschatz sprechen :

Nur weil sich eine CPU gut undervolten lässt, heißt das nicht, dass sie auch gut nach oben skaliert. Zu meinen Anfangszeiten des OC wollt ich erst mal mit undervolting gucken was da überhaupt mit meinem Chip passiert. Ich dacht mir lieber mal nach unten hin spielen als nach oben und sich was zu Himmeln. Oc war gefühlt halt noch was komplizierter auf den core2duos/quads mit fabund multi. Lag aber auch vielleicht daran, dass ich mit 17 halt noch null Überblick mit der Thematik hatte.

Bei GPUs dasselbe. Vor allem vega zeigt das gut durch die starke Streuung der Güte im Prozess. Hier gibt's gefühlt keine Verbindung zwischen oc und undervolting Fähigkeiten, beides scheint für sich ganz andere Anforderungen ans bining zu haben.

Ich denke halt, dass aus dem Prozess gerade nicht genug hochtaktende Module kommen. Epyc interessiert es nicht und die 3600(x), 3700 sind gut verfügbar. Jetzt wird mit 3500 sogar noch nachgeschoben. Das einzige was fehlt sind halt wirklich die hohen Booster, welche bei dem engen TDP Korsett eben nur wenig Spannung benötigen dürfen, vorallem wenn es so viele Kerne sind.
Aber... Nichts genaues weiß man nicht :D
 
  • Gefällt mir
Reaktionen: ZeroStrat
Holt schrieb:
so sind die Packungsdichten bei Intel 10nm Prozess nicht viel größer als bei dem 7nm von TSMC.

wenn man ehrlich ist, wissen wir beide nicht wirklich mehr als die marketingabteilung heraus gibt.

auf dem papier ist die 10nm fertigung bei intel seit jahren besser, als die 7nm von tsmc. leider nur auf dem papier.

und bei technologietransfer geht es darum, WAS man baut. intel hatte mit itanium versucht einen 64 bit zu bauen und am ende MUSSTEN sie, die register von AMD lizensieren. was amd dafür bekommen hat, wissen wir beide auch wieder nicht :evillol:

aktuell sieht es eher so aus, dass die chiplet idee gerne auch von intel verwendet würde, sie haben aber nichts brauchbares im tausch dafür :smokin:

wo sie mit ihren big monster chips landen, sieht man ja aktuell.

mfg
 
@Dai6oro
Ergänzend kommt noch hinzu dass das Spiel/Programm max. 8 Kerne nutzen darf weil er sonst zwangsläufig wieder ins Hintertreffen gerät und nein HTT/SMT zählt hierbei nicht wenn das Konkurrenzprodukt mehr physische Kerne besitzt die erheblich besser skalieren als die zusätzlichen virtuellen Kerne durch HTT/SMT.

An der Stelle wird es dann auch lustig wenn was von zukünftigen CPU Limitierungen durch schnellere Grafikkarten erzählt und dabei ignoriert wird dass das Ergebnis nur für dieses eine Spiel gilt und für das Verhalten anderer Spiele irrelevant ist.
Ergänzung ()


@[wege]mini
In dem Zusammenhang würden mir gleich 2 Technologieen in den Sinn kommen an denen Intel interessiert sein dürfte. Die GPU Technologieen und die Technologie zur Chip zu Chip Kommunikation.
 
Zuletzt bearbeitet von einem Moderator:
[wege]mini schrieb:
und bei technologietransfer geht es darum, WAS man baut. intel hatte mit itanium versucht einen 64 bit zu bauen und am ende MUSSTEN sie, die register von AMD lizensieren. was amd dafür bekommen hat, wissen wir beide auch wieder nicht :evillol:

Ich dachte, das der Deal ein Crosslicencing Abkommen war (für CPUs).
 
DriveByFM schrieb:
Viel geiler ist die Doppelmoral hier, erst kaufen alle Intel und machen AMD fertig weil sie nix hinbekommen, nun hat AMD mal was geschafft und plötzlich ist Intel der Böse und wehe es wird ein 9900k empfohlen dann gehts richtig los. 😂
Zum Thema Doppelmoral,
Bei Intel boosten die CPUs in Abhängigkeit vom genutzten Mainboard fehlerhaft und überschreiten dadurch massiv und dauerhaft die angegebene TDP -> kann ja nur am MoBo liegen und sollte offenbar deshalb lt. Meinung einiger User ignoriert werden
Bei AMD wird der angegebene Turbo Takt in Abhängigkeit vom Mainboard minimal unterschritten -> daran können natürlich nur die Prozessoren Schuld sein, steinigt sie!
 
Vergisst doch einfach, Takt, TPD, Boost Takt, ABBA etc

Entscheidend ist, was man an Geld im Prozessor reinsteckt und welche Anwendung ihre Aufgabe dort wie schnell erfüllt...
 
Dai6oro schrieb:
ein Crosslicencing Abkommen war (für CPUs).

unter anderem....

wie ich schon öfter´s sagte, die ami´s haben tatsächliche wirksame gesetze wie z.b. den anti trust act.

manchmal ist das "schlecht" oder wieder "gut" - mal bei der NRA fragen - fast immer funktioniert dieses fragile gebilde aber tatsächlich seit jahrzehnten.

dies gehört hier aber alles nicht her und ich hoffe, das AMD tatsächlich wieder ein ernstzunehmender gegner auf dem cpu markt bleibt und nicht nur existiert, damit intel der big player bleiben darf. :smokin:

mfg
 
Krautmaster schrieb:
AMD hätte außer fehlender Fertigungskapazität und Stabilitätsproblemen wenig Gründe sowas wie die TR3 Plattform zurückzuhalten.
Wieso wird TR3 zurückgehalten? Dafür gab es doch noch keinen Termin, sondern nur die Aussage in diesem Jahr zumindest Informationen zu geben, in dem Sinne ist ein Release im November also gerade das Gegenteil.
Zurückgehalten wird nur der 3950X und das der 16 Kerner erst zusammen mit TR3000 kommen würde, hatte ich schon früher vermutet.
Krautmaster schrieb:
Bei TR3 verdient man pro Chiplet nur noch nen Bruchteil.
Wie kommst du da drauf? Der 7282 16 Kerner als billigster Rome kostet nur 625$, dazu kommt das dessen I/O Chip viel größer als bei den AM CPUs ist und selbst wenn der nur zwei Chiplets hat, verdient AMD an einem 3950X also mehr als am kleinsten Rome.
Krautmaster schrieb:
Der Turbo bei Epyc fällt auch so gering aus dass ich mich schon Frage ob diese eher die schlecht taktenden Die bekommen und man die nach oben am besten skalierenden sogar für die Consumer auftischen muss.
Richtig, genau so wird es sein.
Krautmaster schrieb:
Denke bei 3 Ghz sind fast alle Chiplets verwertbar und auch ähnlich gut bei kleiner Spannung zu betreiben, nach oben raus mag sich aber die Spreu vom Weizen trennen.
Ebenfalls richtig.
ZeroStrat schrieb:
Ich habe mal ein bisschen gerechnet. Was haltet ihr davon?
Rein gar nichts, weil es von der falschen Annahme ausgeht dies Verhalten wären linear und damit berechenbar, was aber so nicht ist. Dazu habe ich aber eigentlich schon genug gepostet und offenbar hast du das nicht gelesen, nicht verstanden und / oder keine relaen Voltage Takt Kurven über einen großen Bereich gesehen.
ZeroStrat schrieb:
Wir machen mal ein paar Annnahmen.
Genau da liegt der Fehler.
[wege]mini schrieb:
auf dem papier ist die 10nm fertigung bei intel seit jahren besser, als die 7nm von tsmc. leider nur auf dem papier.
Wo soll Intels 10nm Prozess auf dem Papier in welcher Hinsicht besser gewesen sein?
[wege]mini schrieb:
und bei technologietransfer geht es darum, WAS man baut
Vorher ging es dir dabei aber im die 10nm Fertigung.
[wege]mini schrieb:
intel hatte mit itanium versucht einen 64 bit zu bauen und am ende MUSSTEN sie, die register von AMD lizensieren. was amd dafür bekommen hat, wissen wir beide auch wieder nicht
Das gegenseitige Patenaustauschabkommen, welches es AMD überhaupt er erlaubt x86 CPUs zu fertigen.
[wege]mini schrieb:
aktuell sieht es eher so aus, dass die chiplet idee gerne auch von intel verwendet würde, sie haben aber nichts brauchbares im tausch dafür
Ganz sicher nicht, bei Intel wird es Richtung EMIB gehen, was gegenüber der von AMD verwendeten konventionellen Verbindungstechnik eine Menge Vorteil bringt, ohne die hohen Kosten normaler Interposer. Dazu Mesch und schon kann man Dies so miteinander verbinden, dass es sich wie ein einzelnes Die verhält, weil man viel mehr Verbindungen realisieren kann. AMD hat ja schon Probleme mit den ganzen Verbindungen eines Chiplets.
Wadenbeisser schrieb:
Bei Intel boosten die CPUs in Abhängigkeit vom genutzten Mainboard fehlerhaft und überschreiten dadurch massiv und dauerhaft die angegebene TDP
Wieso fehlerhaft? Die Übertaktung der CPUs ist bei einer mit offenen Multi und den Boards mit passendem Chipsatz doch extra vorgesehen. Das einzige was man als Fehler ansehe könnte, wäre das die meisten Boards die CPUs schon in der Defaulteinstellung übertakten und dies teils massiv.
 
Zuletzt bearbeitet:
Gast0ne schrieb:
Kein Mitleid. IT-Zeugs kauft man sich dann, wenn man's braucht. Ansonsten hat man zuviel Geld. :rolleyes:
Das Argument ist hier doch fehl am Platz. Keine Frage des Nichtbrauchens oder Geldes!
Hier hat jemand schlicht fehlgeplant, sprich die Lieferengpässe eines Teiles nicht einkalkuliert. Bei den teils irreführenden Versandangaben der Shops weniger verwunderlich. Hatte das selber auch unterschätzt. Aber irgendwann muss man ja anfangen, da RAM und Graka ebenfalls schwerer lieferbar waren.
 
@Relict Also RAM wird generell gerade sowieso wieder günstiger, und eine Graka hat er nicht dabei gehabt, aber eine Wakü, ein Netzteil und ein Gehäuse und alle drei Sachen sind auch eher keine Artikel, die Lieferschwierigkeiten bekommen und ebenfalls mit der Zeit eher günstiger werden.
Somit hätte man sich Geld gespart, wenn man alles komplett gekauft hätte sobald alles verfügbar ist.

Etwas anderes war es z.B. vor Ryzen 1000, als der RAM recht teuer war und auch über das nächste halbe Jahr immer teurer werden sollte. Da hab ich mir dann auch mal einen Monat vorher RAM gekauft als ein gutes Angebot da war. Aber heute macht man damit eigentlich nur Minus.
 
Holt schrieb:
[...]weil es von der falschen Annahme ausgeht dies Verhalten wären linear und damit berechenbar[...]

Was nehme ich als linear an?? Und was hat Linearität mit Berechenbarkeit zu tun? Oder meinst du Stetigkeit? Natürlich ist das ein approximierendes Modell...
 
Richtig, stetig statt linear. Ich hatte versehentlich auf Antworten gedrückt, bevor ich zu den Zitaten etwas geschrieben hatte und war daher in Eile dies nachzuholen.

Aber wie gesagt sind die Kurven nicht stetig und aus dem Verhalten am Ende des Frequenzspektrums kann man nicht auf den übrigen Verlauf der Kurven schließen, wie man hier an der Kurve des Zeppelin Die (14nm) sieht:

Zepplin_VF_curve.png


(Quelle)
 
Wieso albern? Albern ist zu glauben man könnte dies mit einer mathematischen Formel so berechnen, dass es als Beleg dafür dienen würde, dass AMD bei Rome ausgerechnet die Dies verbauen muss, die am höchsten takten können.

Als wahrscheinlichsten Grund für die Verzögerung des 3950X würde ich vermuten, dass es einfach nicht genug Chiplets gibt bei denen 4,7GHz möglich sind, wobei möglich eben bedeutet, dass wenigstens ein Kern diesen Takt bei einer vertretbaren Spannung auch erreicht. Dafür spricht, dass schon der 3900X von allen RYZEN 3000 am schlechtesten verfügbar ist und dies, obwohl es die derzeit höchstpreisigste CPUs der Familie ist und beim 3800X war es ja anfangs mit der Verfügbarkeit auch nicht so weit hin. Es ist anzunehmen, dass auch die Verteilung der maximalen Taktfrequenz eine Normalverteilung mit dem Höhepunkt irgendwo knapp über 4GHz ist und damit werden eben viel weniger Chiplets 4,7GHz ermöglichen als die offenbar sowieso knappen die noch 4,6GHz ermöglichen. Da das Thema Boosttakt ja nun auch in der Presse Beachtung findet, wird AMD wohl versuchen die 4,7GHz auch wirklich einzuhalten.

Eine allgemeine Chiplet Knappheit ist wegen der guten Verfügbarkeit der übrigen Modelle nicht anzunehmen und da schon der 3900X zwei Chiplets hat, sollte es auch keine unerwarteten Probleme mit dieser Konfiguration geben, nur weil nun alle 8 Kerne pro Chiplet aktiv sind.

Dann könnte es noch strategische Überlegungen sein, nämlich die 16 Kerner erst zusammen mit den neuen TR3000 anzubieten, etwa mehr Zeit für den Abverkauf der alten 16 Kern TR zu erhalten, aber dann wäre es geschickter gewesen den 3950X erstmal gar nicht anzukündigen, oder wenigstens keine Termin anzugeben, als den Termin nun so kurzfristig zu verschieben. Dies gilt ebenso, falls man den als Antwort auf mögliche Reaktionen von Intel hätte nutzen wollen.
 
@Taxxor
Vielleicht brauchte er es ja in nächster Zeit? Wissen wir doch nicht! Man weiß ja nicht wann es verfügbar ist, wenn die Händler die Lieferzeiten aller zwei Wochen höher setzen. So kann keiner wirklich planen. Warten bis man schwarz wird, kann man natürlich immer.

Der 3600/CL16 RAM (gerade der NEO) war im Sommer schwer lieferbar bzw. nur zu Mondpreisen. Bei mir wars die 2070 Super Gaming OC, die es nicht oder nur zu Mondpreisen gab und nur in einem kleinen Zeitfenster im Angebot war. Da habe ich zugeschlagen. Jeder hat andere Präferenzen und Ziele und kauft nicht irgendwas es gerade günstig gibt, sondern dass was man konkret will, zu dem Preis den man favorisiert, für den Aufrüstzeitpunkt, den man anstrebt.

Mein Gehäuse habe ich übrigens schon seit März, weils da im Angebot 40 EUR günstiger war und die Preise seit Zen2 erwartungsgemäß stiegen. Das sich alles wegen dem 3900X nun derart extrem verzögert war einfach nicht abzusehen.
 
Sapphire Forum
Zurück
Oben