News Arbeitsspeicher fällt auf 4,60 Euro pro Gigabyte

Volker

Ost 1
Teammitglied
Registriert
Juni 2001
Beiträge
20.066
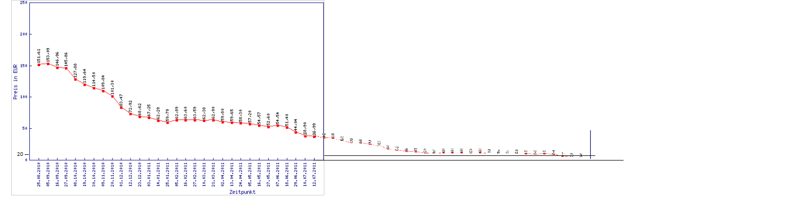
Alle Analysten haben einmal mehr deutlich falsch gelegen: Denn entgegen aller Vorhersagen zu einer Stabilisierung im Speichergeschäft, hat sich der Preis für DDR3-SDRAM in den letzten vier Monaten noch einmal fast halbiert. Jetzt gibt es Schnäppchen wie 8 GByte DDR3-1333 für nicht einmal 37 Euro.

Zur News: Arbeitsspeicher fällt auf 4,60 Euro pro Gigabyte
 
Geile Sache.
 
Die Hersteller werden schon wieder verdienen da der Bulldozer teuren Speicher brauchen soll. Vielleicht gönne ich mir nochmal 8GB, gebraucht wird es nicht.
 
Glücklicherweise hält sich cb mittlerweile bei Empfehlungen zurück. Öfters war hier zu lesen das man ja jetzt unbedingt kaufen sollte, billiger wird nimmer, die Preise an der Börse würden wieder steigen, etc.
 
Tja und ich hab vor einigen Monaten mich dann doch mal dazu entschlossen den in der News genannten Arbeitsspeicher zu kaufen weil ich dachte, dass sich das wirklich lohnen könnte :>

Naja, aus Fehlern lernt man ^^

Edit: Kann der Person über mir nur zustimmen ;)
 
Wahnsinn.
 
Lange kann das ja nicht mehr gut gehen, ich denke dann muss ich auch mal zuschlagen.

Jetzt müsste ich nur noch wissen, ob Bulldozer auch so von höheren RAM-Takt profitiert wie Llano, denn bei der CPU muss ich mich erst noch entscheiden^^
 
wenn die 8gb rams kommen wird es noch billiger. ;)
 
Das ist eine gute Nachricht.
Wenn Bulldozer wirklich im September kommt, brauche ich für meine neue CPU auch neuen Arbeitsspeicher.
Aber ich befürchte, dass der Preis ab September wieder steigen wird.
Das Weihnachtsgeschäft beginnt bei mir im MM ab September.
 
Ja, ich werde wahrscheinlich auch auf 16GB aufstocken. Man kann nicht maulen.

Im übrigen denke ich nicht, dass der Llano aufgrund des hohen Speichertaktes gewinnt in Sachen CPU-Leistung. Sondern dass sich die Grafikeinheit über die höhere Bandbreite mehr Power holt. Daher sollte Bulldozer wohl kaum so sonderlich durch den Speicher begrenzt sein wie Llano. Und daher gilt es wie bei der Sandbrücke: Je mehr, desto besser.
 
Kaum holt man sich Speicher, fallen wieder die Preise. Ich könnte heulen:)

Nicht mal eine Woche, sind die um 10 Euro gefallen... jetzt gibt eine Woche nichts mehr zuessen!

So könnte die Zukunft aussehen^^

meine Prognose.png
 
Zuletzt bearbeitet:
also wie üblich unter "ferner liefen" :-)
 
Ich werde mir demnächst wohl auch mal neuen Ram holen. Für 16Gb 1600er bezahle ich jetzt genausoviel wie vor nem Jahr für meine 4Gb 1333 CL7 - da kann ich nicht nein sagen ;) - ist schon abgefahren. Naja, ich denk auch bei den Preisen kann man wirklich nicht viel falsch machen, klar es geht immer günstiger, aber so langsam wirds ja wirklich gespenstisch^^
 
Sapphire Forum
Zurück
Oben