News IBM, AMD & Co. ab 2009 mit 32-nm-Prozess

1.
Schön, dass sich neben ein paar Labersäcken auch erstaunlich viele gemeldet haben, die sich ernsthaft für die Technik interessieren.
2.
Ich sehe die Allianz zwichen IBM, AMD, Samsung und Co. schon lange als sehr positiv an. Intel hat sich nun mal in den letzten 15 Jahren immer mehr in eine Stellung bewegt, aus der sie ein Monopol erreichen könnten, da braucht es wirklich dringend ein starkes Gegengewicht. Ist ja auch nicht so, dass Intel nur PC-CPU´s und Chipsätze herstellt, da hängen noch ganz andere Bereiche mit dran.
3.
Es mag sein, dass AMD mit 65nm so seine Probleme hat, aber das war bei Intel mit 90nm nicht anders, also mal schön abwarten, wie sich das ganze bei 45 und 32nm entwickelt.
4.
Nur um es mal wieder zu erwähnen; im Moment wird an einer Spintronics genannten Technik gearbeitet, bei der die Elektronen nicht mehr bewegt werden sondern "nur" die Ausrichtung der Elektronen geändert wird, da sie eine Polarität haben (Sorry, schlecht erklärt, aber die Technik ist da etwas komplex).
Auf die Art sinkt der Stromverbrauch gegenüber heutiger halbleitertechnik enorm, da eine extrem viel niedrigere Menge an Strom fliesst, so dass in der Theorie selbst Prozessoren, die um ein vielfaches schneller getaktet sind als heute nur wenige Watt Verlustleistung haben sollten.
Natürlich gäbe es so auch keine Kühlprobleme beidreidimensional aufgebauten Prozessoren und Speichern.
Laut Bild der Wissenschaft funktioniert das ganze bisher nur unter praxisfernen Laborbedingungen und mit einfachen Schaltungen, aber in 15 Jahren und mit 11nm Prozess könnte das ganze einsatzbereit sein. Schau mer mal
 
ALso ich habe mich sehr darüber gefreut, dass wenigstens ein kleiner technischer Teil in der News vor kam.

Die Frage die sich jetzt ja stellt ist, inwieweit wer als erstes die Technik nutzen kann, so kann es ja sein das Intel Ende 2009 angegeben hat aber dann schon prdoduziert was IBM dann noch nicht kann oder eben umgekehrt.

Also heißt es abwarten.

Wenn man mit Silizium nicht weiter verkleinern kann wird man wahrscheinlich auf Kohlestoffnanoröhrchen setzen.
 
Nicht IBM bringt die meisten Technologien mit und treibt die Entwicklung sondern eher AMD. In den Desdener Werken wird auch viel geforscht, es wird nur zentral bei IBM gesammelt. IBM verlor damals den Anschluss an Intel mit der Power Serie und wollte das mit AMDs Hilfe verhindern. AMD wusste das damals und bot IBM die Zusammenarbeit an. Erst waren es nur Technologietausche, kurze Zeit später sprangen IBM Ingeneure in Dresden rum und man bastelte an SOI und nahm natürlich AMD Knowhow mit nach NY. Mit Freescale war AMD ja schon verbundelt als sie die Fab30 zusammen mit Motorola bauten und Copper Interconnects in den Fertigungsprozess integrierten. Die Technologiepartnerschaft hat aber nie aufgehört, so waren also IBM, AMD und Freescale verbundelt. AMD startete die umfassende Chip-Kooperation und IBM koordiniert alles. Das Knowhow aber kommt von allen Beteiligten und insbesondere von AMD.
 
Das Problem ist doch wohl was hat AMD mit dieser Technologie vor ? Nun das Gleiche wie Intel - sie wollen ja nicht nur schneller werden und weniger Leistung verbrauchen mit den Chips- sondern noch mehr Kerne auf einem Chip plazieren - die Rede war ja von 8 oder 16 Core - CPUs.Sicher wird da auch der Cache nicht zu kurz kommen - aber da hat AMD ja eh nie so viel wert drauf gelegt:rolleyes:
Nur wer soll dann z.B. von Intels 8+8 oder AMDs 16 Core CPU profitieren - wenn im Desktopsegment am Anfang 2008 die 4 Cores noch immer nicht richtig genutzt werden können:evillol:
 
@MacroWelle

naja, bei der Stromverbrauch bei den Grakas geht wie ich finde kaum zurück. Die HD 38XX punkten mit gutem Idle Verbrauch, aber angesichts der 3870 X2 würde ich nicht behaupten das der Verbrauch von Grakas zurrück geht. Warte mal bis die 9800GTX draußen is ;)

Raytracing macht noch die CPU, aber bis in paar Jahren gibt es sicher spezielle Karten dafür. Gibt es ja jetzt schon ansatzweise.

Und ja ich weiß was ne Kooperation ist, ich hab die Kooperation auch nicht in frage gestellt ^^ - lediglich gesagt das wohl eher IBM AMD zum 32nm Prozess führt als andersrum :freaky:
Ok geb zu, hat sich etwas doof gelesen und war etwas doof geschrieben.
vllt hat HOT ja recht was die Erforschung und Sammlung von Technologie angeht. Prinzipiell auch egal wer von wem lernt, IMB scheint Technologie besser umsetzen zu können (Da auch mehr Geld).
 
Zuletzt bearbeitet:
wenn man jetzt mal drüber nachdenkt,
dann bringt ein Wechsel von 65nm auf 32nm ungefähr 1/4 der Chipfläche mit sich,
wodurch ein K10 in etwa so gross wird wie ein Singlecore Prozessor.
Und dann noch die dadurch ermöglichten Taktsteigerungen von 60%
(der 45nm Prozess, der dazwischenliegt, soll ja auch schon mindestens 30% schneller sein als der 65nm Prozess)
Also her mit den 5 GHZ K10 CPUs, die werden ganz schön was wegrechnen ...
 
@HITCHER_I
Die K10 Architektur schafft nicht mehr als 4 Ghz, auch nicht in 32nm. Da müsste man auch was an der Architektur verändern, wenn man mehr Ghz haben will. (Außerdem steht bei AMD für 2009 K11 auf der Roadmap und der Shrink auf 32nm für 2010)
 
Zuletzt bearbeitet:
Xedos99 schrieb:
Das Problem ist doch wohl was hat AMD mit dieser Technologie vor ? Nun das Gleiche wie Intel - sie wollen ja nicht nur schneller werden und weniger Leistung verbrauchen mit den Chips- sondern noch mehr Kerne auf einem Chip plazieren - die Rede war ja von 8 oder 16 Core - CPUs.
Zunächst einmal soll es CPUs mit integrierter Grafik für Low-End-Rechner und mobile Geräte geben.

Krautmaster schrieb:
@MacroWelle
naja, bei der Stromverbrauch bei den Grakas geht wie ich finde kaum zurück. Die HD 38XX punkten mit gutem Idle Verbrauch, aber angesichts der 3870 X2 würde ich nicht behaupten das der Verbrauch von Grakas zurrück geht.
Ok, vor fünf Jahren waren wir noch bei einem Verbrauch von 25-50 Watt, aber alleine dadurch, dass immer mehr Notebooks gekauft werden, werden die GPUs sparsamer. Die HD-38xx-Serie verbraucht unter Last die Hälfte (!) einer HD 2900 XT. Außerdem haben die Karten PowerPlay und UVD.
Immer weniger Leute brauchen oder wollen Karten mit 150-200 Watt Verbrauch. Vor einigen Jahren hat man eine Karte mit hohem Energieverbrauch noch akzeptiert, wenn die Leistung sehr gut und die Kühlung ordentlich war. Das wird in Zukunft immer weniger der Fall sein, wie schon seit ca. fünf Jahren bei CPUs. Da gab es die gleiche Entwicklung.

Krautmaster schrieb:
Und ja ich weiß was ne Kooperation ist, ich hab die Kooperation auch nicht in frage gestellt ^^ - lediglich gesagt das wohl eher IBM AMD zum 32nm Prozess führt als andersrum :freaky:
[...] IBM scheint Technologie besser umsetzen zu können (Da auch mehr Geld).
Klar hat IBM mehr Geld und ist größer, aber früher als AMD haben die auch nicht in 65nm produziert (PowerPC-CPUs für Konsolen). Das AMD oder z. B. Motorola nicht alleine an neuen Fertigungsgrößen forschen, ist klar. Das wäre Selbstmord - wenn sogar IBM oder neuerdings Samsung sich in einer Allianz besser aufgehoben fühlen.
 
Dass die Refresh-Generation weniger Strom benötigt (und eigentlich immer die viel bessere Wahl darstellt) als die erste Version eines Chips ist ja nichts Neues und nur ein kurzfristiger Effekt. Wobei der RV670 schon etwas mehr als ein Refresh ist. Jedenfalls ist das bisher immer nur ein kurzfristiger Effekt gewesen und die nächste Chipgeneration hat an Energieverbrauch wieder alles in den Schatten gestellt...

@xp_home: Interessant, ist mir ehrlich gesagt neu. Dennoch kommt mir das eher wie eine theoretische Größe vor, die die beiden Hersteller da angeben...
 
Warum hier alle gleich von CPUs reden...große Vorteile wird es erstmal beim Speicher geben :) Größer und (noch) billiger.
 
Krautmaster schrieb:
Siehe aber den Athlon 64 X2 90nm über 3 Ghz und den 65nm X2 der seit nem Jahr nichtmal an die 90nm rankommt. <- unausgereifter 65nm Prozess

Guck ins extremesys Forum 5000+ BE @ 4GHz validiert usw. :D
 
HITCHER_I schrieb:
wenn man jetzt mal drüber nachdenkt,
dann bringt ein Wechsel von 65nm auf 32nm ungefähr 1/4 der Chipfläche mit sich,
wodurch ein K10 in etwa so gross wird wie ein Singlecore Prozessor.
Und dann noch die dadurch ermöglichten Taktsteigerungen von 60%
(der 45nm Prozess, der dazwischenliegt, soll ja auch schon mindestens 30% schneller sein als der 65nm Prozess)
Also her mit den 5 GHZ K10 CPUs, die werden ganz schön was wegrechnen ...

Das wären für den K10 ca. 70mm² ;). Da würde man schon wieder Massetransistoren einfügen um den Chip auf 80-100mm² zu vergrössern, um eine bessere Abwärmeableitung zu ermöglichen. Vllt. taugt der K10 Quad dann ja als Massenprodukt wie heute die K8 Rev.G :D.
70mm² wäre etwas grösser als die VIA C7 Chips :D.
Aber das wird wohl so nicht passieren, der Bulldozer wird wohl einiges mehr an Transen (:freak:) und Chipfäche benötigen ;).

xp_home schrieb:
@HITCHER_I
Die K10 Architektur schafft nicht mehr als 4 Ghz, auch nicht in 32nm. Da müsste man auch was an der Architektur verändern, wenn man mehr Ghz haben will. (Außerdem steht bei AMD für 2009 K11 auf der Roadmap und der Shrink auf 32nm für 2010)

Also deine Glaskugel möcht ich auch mal haben :). Bisher weiss nichtmal AMD, wo die Grenzen der Architektur sind. Ich glaube, wir können da auf Vorverurteilungen dahingehend dankend verzichten.
 
Zuletzt bearbeitet:
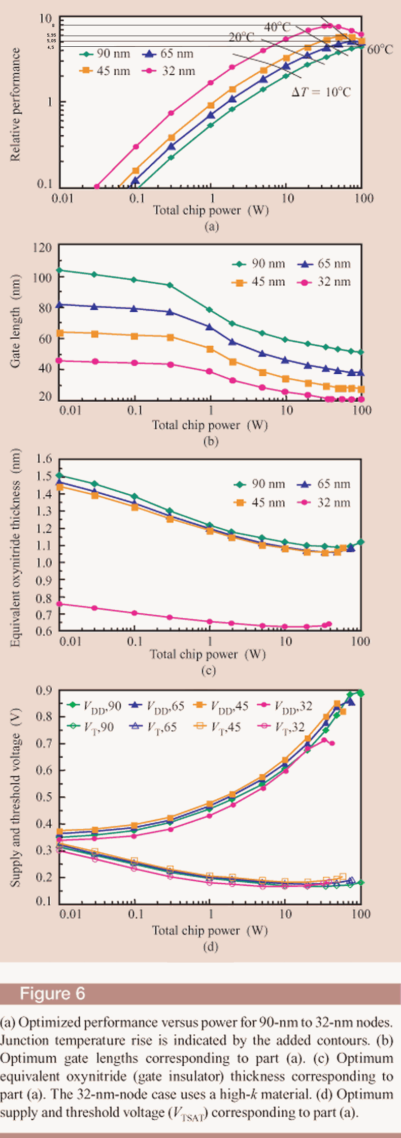
http://www.research.ibm.com/journal/rd/504/frank.html

hab mir da da mal erlaubt auf dem Bild "Frank6.gif" die relative performance numbers @60°C abzulesen und an der Skala einzuzeichnen.

demnach wäre der AMD-IBM 45nm Prozess bei gleicher Temperatur ca. 1,2 x schneller als 65nm, und der 32nm prozess wäre dann ca. 1,34 x schneller als 45nm.

Also insgesamt wäre der 32nm Prozess 1,58 x so schnell wie 65nm.
65nm ist beim K8 durchaus für 3,2 GHZ gut. http://www.hwbot.org/result.do?resultId=632940

3,2 GHZ * 1,58 = 5 GHZ.

Hoffe, dass ich damit keinen Blödsinn verzapfe.
Der Artikel ist ja ziemlich kompliziert.

http://666kb.com/i/auc85hea20l11ep6q.png
 
Zuletzt bearbeitet:
digitalangel18 schrieb:
Warum hier alle gleich von CPUs reden...große Vorteile wird es erstmal beim Speicher geben :) Größer und (noch) billiger.

Hast recht. Bezahlbahre SSD-Platten will/braucht das Volk!!!11einseinself :freaky:
 
@HITCHER_I
Wenn du einen SRAM-Testchip auf 5 Ghz takten kannst, so heißt es nicht, dass du auch einen komplexen Prozessor mit einer bestimmten Architektur so hoch takten kannst.

-----

Übrigens: Da steht Delta 10, 20, 40, 60 Grad und nicht einfach nur 10, 20, 40, 60 Grad

Ich nehme an, dass das "Delta" sich auf die Umgebungstemperatur bezieht, also ist die Chiptemperatur über 80 Grad, wenn die Umgebungstemperatur ca. 20 Grad ist?
 
also 80°C Kerntemperatur ist normal schon instabil, da stürzt eine CPU dann ab.
Das hat gerade mal der K7 noch so ausgehalten.

Aber das Verhältnis zueinander bleibt auch bei der Delta T = 40°C in etwa gleich.

In dem oben verlinkten Artikel geht's aber schon speziell um Prozessoren, nicht nur um Speicherchips.
 
Zuletzt bearbeitet:
Mich würde mal interessieren, ob dort schon eUV zum Winsatz kommt, oder ab sie das erst für die 20er bzw unter 20er nm Palette aufsparen. Denn zwingend notwenig wird es schon wenn sie den 20er bereich irgendwann mal angehen wollen. Alo warum nicht schon früher damit anfangen?
 
Zurück
Oben