TeamViewer Motive 3

AMD RX 5700/XT Erfahrungsthread

Keine Ahnung, deshalb habe ich gefragt. Wer nicht fragt bleibt dumm. Hieß es zumindest in der Sesamstraße ;)
Auf alle Fälle vielen Dank für eure Hilfe. Jetzt heißts wohl noch ein paar Tage gedulden..
 
So, meine 5700XT Anniversary läuft seit gestern im PC.
Erste Erfahrungen:
Stock:
- Heaven loop bietet konstante 2000+mhz out of the box bei 1.19x volt, inklusive 2500rpm fanspeed und einer tjunction Temperatur von "grade mal" 93C, anstelle von den 110C die anscheinend alle anderen messen.
1. Undervolt:
Ich habe die Taktkurve aktuell bei 1899mhz begrenzt und die voltage dafür auf 1.007cvore gesetzt. Bisher gabs mit dieser Kombi keine Abstürze. Inklusive einem reduziertem Power Target von -30% komme ich auf grade mal 140w power laut Wattman und 94C TJunction nach 2 Heaven loops, aber nur noch 1700rpm, welche zwar hörbar, aber definitiv nicht unangenehm laut sind. Locker von Kopfhörern zu übertönen. Effektiver Takt war bei 1780 bis 1850mhz, also dem normalen game clock der 5700xt.
Das wird noch weiter optimiert. Ziel ist 1950mhz max bei niedrigstmöglicher Voltage und effektiver Takt von 1850 in Games.

Ansonsten habe ich mit dem 19.8.1 eine minimal-Drehzahl von 700rpm, keine 1100. Ebenso gefällt mir wie die Karte unter FPS-Locks reagiert. Für Rimworld muss sie grade mal auf 30mhz takten um die notwendigen Frames zu liefern. Sehr angenehm.

Was mich absolut stört:
  • Der Lüfter hat ein nerviges, Spulenfiepen ähnliches Nebengeräusch. Wenn das die nächsten Tage nicht weggeht, muss ich wohl mit dem Support reden
  • Richtiges Spulenfiepen unter Last. Aber da meine 1080 auch schon Spulenfiepen hatte, könnte es auch am Netzteil liegen...
  • Stromverbrauch Multi-Monitor. Ich habe einen 1080p120hz Screen und einen 1440p60hz Screen. Sobald die beiden nicht beide auf 1080p60hz gedrosselt werden, liegen konstante 30w Idle anstelle 8w Idle an und das schlägt sich übelst in den Temperaturen nieder.
 
  • Gefällt mir
Reaktionen: Cpt.Willard
Lyca schrieb:
Stromverbrauch Multi-Monitor. Ich habe einen 1080p120hz Screen und einen 1440p60hz Screen. Sobald die beiden nicht beide auf 1080p60hz gedrosselt werden, liegen konstante 30w Idle anstelle 8w Idle an und das schlägt sich übelst in den Temperaturen nieder.

Mal geguckt wie die Mem Clocks dabei sind? Habe das Problem, dass bei 120 Hz der Memory immer voll hochtaktet. Gehe ich auf 100 Hz runter dann liegt nur der Minimaltakt an.
 
@Lyca - boahr, geile Karte!
Ist in den letzten Tagen das beste was ich zur Xt gelesen habe!
 
@slrzo Mem Clock ist bei 875mhz, und zwar bei absolut jeder Kombination die nicht 1080p60hz bei beiden Monitoren ist. (Ist auch die einzige Auflösung die beide können).
Ich versuche es morgen mal mit jeweils einem HDMI und einem DP Kabel, ob die Karte dann etwas anderes tut.

@Cpt.Willard Danke, ist das denn ein gutes Ergebnis? Ich hab leider absolut keine Vergleichswerte im Netz finden können, die über mehr als Einzelberichte wie ich sie grade geschrieben habe hinausgehen. Und wenn, war immer vom OC die Rede, grade auch mit Custom-Kühlern oder Wakü.

Ich müsste auch mal ein paar grafikfordernde Spiele benchen, leider bin ich seit ein paar Jahren eher aus der Loop und konzentriere mich eher darauf ältere Titel, grade Emulation, auf höheren Auflösungen laufen zu lassen und die haben sehr oft FPS caps. Zeit endlich mal Witcher 3 zu installieren...
 
Nun, wenn ich sehe, dass der Hotspot bei manch anderen Spielen (young blood) mit der Evoke auch an die 90 Grad geht... find ich das schon beeindruckend - vor allem, wenn man sich dann vorstellt, dass Du wahrscheinlich noch nen Kühlerumbau machen könntest?!
 
Ich werde keinen Kühlerumbau durchführen können. Dan A4, ich bin strikt auf 2 Slots eingegrenzt.

Generell sind meine TJunction Temps nur so 8C entfernt von der Edge-Temp. Der Kühler scheint gut montiert worden zu sein.
 
Den Anpressdruck des Kühlers kannst du noch verbessern:

Ich werde das mal die Tage irgendwann machen. Mal sehen, ob ich dann mit dem Blower leben kann.

Die kleine Rx5700 kann ich momentan auf ca. 950 mV setzen. Passt man dann noch ein klein wenig die Lüfterkurve an und nutzt konsequent "Chill" oder "Frame Rate Target Control", läuft der Blower leiser. Chill scheint auch besser zu funktionieren als bei Polaris. Schön ist ja, das man das völlig simpel mit wenigen Klicks im WattMan machen kann. Als Verbrauch werden im WattMan max. ca. 130W angezeigt. Spulenfiepen oder Nebengeräusche der Lüfter habe ich nicht.

Interessant ist, dass im Windows Desktop bei 60 Hz der Verbrauch bei ca. 7W liegt, bei 144Hz aber bei ca. 31W. (??)
 
Zuletzt bearbeitet:
Den Anpressdruck, Wärmeleitpaste und -pads werde ich erst angehen, wenn ich die Karte fürs erste ausgereizt habe. Der Kühler ist einfach zu schön um daran herumzufuchteln. (Auch wenn das Lüfternebengeräusch immer noch nicht weg ist...)

144hz ist ein höherer Betriebsmodus, Nvidia und AMD haben da ganz ähnliche Probleme. bis 120hz mit einem Einzelbildschirm bleibt die Karte im 2D-Idle, ab 144hz gehts in den 3D-Idle mit 30w.

HDMI/DP Kabel sind übrigens egal, hat bei mir nix bewirkt. Interessant ist aber folgendes:
  • Hatte beide Displays an der Karte über DP, 1080p60hz und 1440p60hz eingestellt. 30W Idle.
  • Hatte das kleinere Display getrennt und dann über HDMI angeschlossen.
  • Danach hatte die AMD Karte 8W Idle Stromverbrauch, obwohl sich die Auflösungen weiterhin unterschieden haben. Ein Heaven Test und anschließenden Idle hat daran nix gedreht. Habe ich irgendwas geändert, ging der Stromverbrauch wieder auf 30w hoch. Auch hat die 8w Idle einen Reboot nicht überlebt.
Es zeigt aber, es geht. Die 5700XT braucht keinen 875mhz Speicherclock um unterschiedliche Auflösungen darzustellen. Klarer Fall von Bug.

Welche Taktraten hast du denn effektiv bei 950mv?
 
Ich weiß, ich hab gerade nur ne 580 - doch möglicherweise ist um Energie zu sparen das auch bei anderen AMD-Karten möglich.

Mit meiner RX580 hab ich das nervige Problem schon ab 71Hz Monitor-Betrieb, dass der Speicher auf volle Pulle geht - auf die paar Watt sollte es theoretisch nicht ankommen, wenn da nicht ab einer gewissen Temperatur dann doch immer wieder der Fan anläuft...

Ergo hab ich meinen Monitor im Desktopbetrieb mit 70Hz laufen und in Spielen mit 75Hz -Beispiel wären jetzt Battlefield 5@ 75Hz.

Ergebnis: Im Desktopmodus, beim Surfen nutzte ich 70Hz und das reicht mir aus und beim Spielen ein wenig mehr, da dann ja eh der höhere Takt anliegt.

Die Karte/der Monitor wechselt automatisch die Frequenz.
Wenn ich das jetzt analog zur RX5700-Reihe und anderen sehe, ist es vllt. möglich hier die magische Grenze ebenfalls einzuhalten für den Idlebetrieb und schon ist es weniger Verbrauch und 120Hz dürften für´s Browsing doch eigentlich reichen oder?!
 
hat hier jemand schon versucht die 5700 zur xt zu flashen mit dem neuen atiflash?
Hatte mir voreilig einen wasserblock geholt für die 5700er und jetzt liegt er hier rum weil meine vega56 reicht halt doch noch für meinen Zweck...hatte halt der Bastelfinger zu schnell gezuckt.
Und wenn es möglich ist wäre es eine weitere überlegung wert.
 
Meine 5700XT AE läuft mit (Einstellungen im Wattman, keinerlei Modifikation am Kühler / Power Play Table):
852 mhz - 686 mV
1428 mhz - 774 mV
2005 mhz - 1036 mV
Leistungsgrenze = 0%
Lüfterkurve: 45°C/20% 60°C/25% 80°C/35% 85°C/40% 90°C/45%
Speicher auf Standard 875 mhz. Theoretisch gehen 900-910 mhz aber wegen Multi-Monitor "bug/feature" lasse ich das.

In Heaven 4.0 @ 1080p, DX11, Ultra, x8 AA, Full Screen erreiche ich mit 3900x/ 3400mhz CL14 Ram:
3385 Punkte
1920 mhz "echte" Taktrate
75 °C Temperatur
86 °C TJunction
@2280 RPM (40%)
bei 155 W GPU Power (Anzeige Wattman, nicht vergleichbar mit der tatsächlichen Leistungsaufnahme)

Im Idle mit Multi-Monitor:
50°C @ 1158 RPM "unhörbar" für mich mit Kopfhörer aber hörbar ohne. Könnte auch 60°C @ 740 RPM einstellen.
33 W (Anzeige Wattman)

Eindruck nach 1 Monat Betrieb:
Karte ist hörbar aber mit geschlossenem Kopfhörern und Musik wird sie leicht übertönt.
Treiber sind grotig. Mit den neusten (19.8.1) hatte ich alle 30 Minuten einen BSOD. Am besten sind die 19.7.1 Release Treiber.
Multi-Monitor wie schon geschrieben 32W @ 2x 1440p/120hz. Glaube auch nicht, dass da jemals ein Fix für kommt. Das ist wohl schon seit Ewigkeiten so und ist bei Vega nur nicht aufgefallen, da diese HBM2 haben, welcher kaum Strom braucht.
Insgesamt denke ich, dass zu der 5700 (ohne XT) mit Blower-Kühler ohne Probleme gegriffen werden kann, solange man ein wenig Undervoltet, die Lüfterkurve anpasst und/oder nicht ultra empfindlich ist für Lüftergeräusche. Die XT (Referenz) kann man nur mit Kopfhörer empfehlen, oder wenn man unempfindlich ist. Die Anniversary Edition lohnt nur für Sammler von Lisa Su Merchandise :).
 
Zuletzt bearbeitet:
Eine Frage für die Leute, die bereits am Kühler der Referenzkarte herumgespielt haben: Wie dick sind die Wärmeleitpads auf dem RAM und den VRM's?
Ich plane langsam den Umbau meiner Karte und wollte dabei auch die Pads austauschen. Leider finde ich keine Info wie dick die Standard Pads sind.
 
Würde sagen die sind 2mm dick. An den Plätzen wo die Pads sind ist auch der Kühler bereits leicht erhaben.
Falls du planst auch auf der Backplate etwas anzubringen weiß ich nicht wie dick die dann sein müssen, würde hier etwas dicker schätzen.
 
Hat denn niemand eine nicht XT? Kann man sie wirklich nur bis maximal 1800 MHz übertakten?
 
zeedy schrieb:
Hat denn niemand eine nicht XT? Kann man sie wirklich nur bis maximal 1800 MHz übertakten?

Um mehr rauszuholen musst du das Tool von IgorsLab nutzen oder die Power Play Tables bearbeiten. Gibt schon mehrere Youtube Videos mit 5700 non XT 1900-2000 mhz. Der Leistungsgewinn hält sich aber in Grenzen.
 
Hallo zusammen,

ich möchte gerne meinen Erfahrungsbericht mit euch teilen. Ich habe mir die RX 5700 (Ref) vor ca. ca. 1 Woche beim Mindstar gegönnt und habe mit einem Kühlerumbau geplant. Den habe ich allerdings noch nicht gekauft.

Als erstes habe ich mich ans Undervolting getan, darauf noch den Takt optimiert und an der Lüfterkurve geschraubt. Ich bin schlussendlich bei folgenden Afterburner Einstellungen angelangt:
  • Core Voltage: 925mV
  • Core Clock: 1775 MHz
  • RAM Clock: 875 MHz (noch Stock)
Läuft stabil in Anno 1800, Witcher 3, Resident Evil 2 und CKD.

Ich bin Stand jetzt echt zufrieden und die Lautstärke geht in Ordnung - ansonsten ist mein Rechner vollkommen auf Silent getrimmt...

Ich habe hier ein paar Witcher 3 Durchläufe mit GPU-Z aufgezeichnet. Szene ist ca 2 Minuten lang und nach dem Aufheizen durchgeführt. Hierbei sieht man echt gut, dass die Leistung voll am Power Target hängt. Die Anhebung des Tackts von 1750 auf 1775 hat dafür gesorgt, dass die Karte dann auch locker über 1,7 Ghz tacktet.

814686


Beste Grüße
 
Zuletzt bearbeitet:
Super Tabelle!

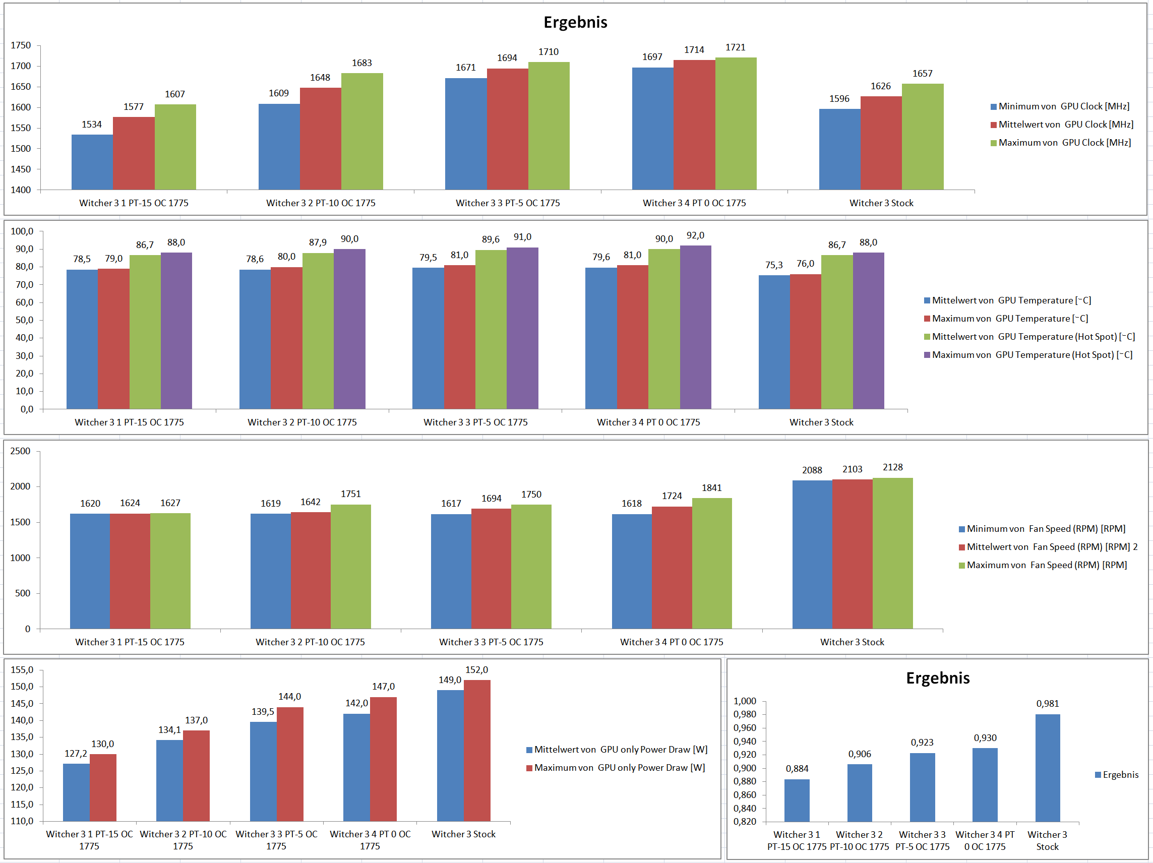
Ich hab mich jetzt auch mal an Witcher 3 gewagt.

Folgendes Setup:
i7-4790k@4ghz flat - vollkommen irrelevant, bin auf 99% GPU Limit
5700XT 50th
Windows 7
Lüfterkurve: bis 84C 25%, danach ramp up auf 35% bis 96C, danach konstakt 35%
Grafiksetting: Novideo Works off, Rest auf Hoch/Höchste, 1440p.
Herumgelaufen bin ich im Wald und auf dem Wasser im allerersten Gebiet, wo Geralt den Händler Bram rettet. Es wird ca. 5-6 Minuten herumgelaufen. Temperaturveränderungen sind dann nurnoch im Bereich von 1-2C Grad zu erwarten.
Alle Werte laut Wattman + GPU-Z
Raumtemperatur zwischen 23-27C. Schlecht kontrollierbar. Die Temperaturen sind damit nicht unbedingt vergleichbar, leider.

Max clock @ WattmanPowertargeteffektiver GPU TaktEdge - Hot Spot GPUMem TempGPU VRM / MEM VRMGPU only Powerdraw (max/average)Fan RPMFPS Witcher 3Bemerkungen
1849mhz@985mv-20%1750 - 1800mhz88C - 100C96C77C / 83C155W~1900Voltage Kurve A
1849mhz@985mv01800 - 1815mhz88C - 100C96C77C / 83C161W / 145-152W~190080FPS +-4Voltage Kurve A
1899mhz@1007mv01840 - 1870mhz92C - 106C98C80C / 85-88C172W / 150-160W~190083-87 FPS +-4Voltage Kurve A
2069mhz@1198mv01840 - 1890mhz90C - 107C94C79C / 82-85C197W~228084-88 FPS +-4STOCK
1706mhz@923mv01660 - 1680mhz87C - 97C94C75C / 82-85C134W / 125-130W~1500-175077-80FPS +-4Voltage Kurve A

Wie man sieht, sind 1859mhz@985mv ziemlich nahe an "echten" 160w GPU only power draw, ohne durch das Powertarget eingegrenzt werden zu müssen. Lustigerweise bewirkt das Absenken des Powertargets trotzdem, dass die Taktraten leicht heruntergehen, ohne dass es Änderungen an der Temperatur gibt.
Ebenso gehen die 1899mhz@1007mv nahe an die Belastungsgrenze der Karte (106C TJunction), weswegen ich wohl dieses Setting nehmen werde, um es mit dem Umbau auf WLP+Washer zu vergleichen. Ebenso gehen die Edge Temp und die TJunction Temp immer weiter auseinander, je länger ich die Karte besitze. Am Anfang waren es 8C, jetzt sind es bereits 12-14C.

Die effektiven ~1850mhz ingame Clock, die ich wollte, habe ich jedenfalls mit dem Setting in Witcher 3 jedenfalls schonmal erreicht.

Edit: Stock-Werte hinzugefügt

Edit 2: Tests mit dem Herumspielen an der Voltage Kurve. Kurve "A" ist an 1899mhz@1007mv festgemacht. Hier schau ich einfach mal wann Witcher 3 meint zu crashen. Nichts hiervon bezeichne ich als stable oder genau bis ich es nicht in mehreren Programmen langfristig getestet habe.

Max Clock @ WattmanPowertargeteffektiver GPU TaktEdge - Hot Spot GPUMem TempGPU VRM / MEM VRMGPU only Powerdraw (max/average)Fan RPMFPS Witcher 3Bemerkung
1706mhz@901mv01650 - 1660mhz86C - 95C92C74C / 81-84C129W / ~120W1500-170077-80FPS +-4Kurve B
1899mhz@971mv01840 - 1860mhz87C - 99C92C75C / 81-84C157W / 145-150W~190083-87FPS +-4Kurve B / Crash in Heaven
1706mhz@879mv01650 - 1660mhz85C - 93C92C73C / 80-83C123W / ~115W1500-170076-80FPS +-4Kurve C
1899mhz@932mv0-------Kurve C / Instantcrash
1899mhz@982mv01840 - 1860mhz91C - 105C96C79C / 85-88C164W / 150-160W~190083-87FPS +-4Kurve D / Stable in Heaven
1849mhz@961mv01780 - 1815mhz87C - 98C92C75C / 81-84C149W / 139-145W~1900Kurve D / geringere Raumtemp

Edit: Die Umgebungstemperatur ist sooo wichtig... Eben gerade bei etwa 2-3C weniger im Raum gespielt, vorher mit Heaven aufgewärmt, und bei denselben Settings wie in Kurve D sinds auf einmal nur noch 100C Hot spot Temp. D.h. für den Kühlerumbau muss ich quasi zur selben Uhrzeit ca. benchen. Siehe Kurve D@1849mhz
 
Zuletzt bearbeitet:
Danke ;)

Deine Karte scheint gut zu gehen. 155 W und +1750 ist schon ordentlich. Meine (non XT) würde wohl beim gleichen Takt auch auf 155 W kommen.

RAM geht bei mir nicht so viel. Erste Tests sind ernüchternd.
 
Sapphire Forum
Zurück
Oben