News Galaxy A33 5G und A53 5G: Samsungs Mittelklasse kann mehr und kostet mehr

Eh, irgendsowas hab ich mir vorgestellt. Nur ob sozusagen dieselbe Hardware verwendet wird oder sich die Bildqualität des A53 irgendwie vom A33 absetzen kann, war mir nicht klar. Werde da wohl (ist ja nicht unlogisch) auf Tests warten müssen.

Die Samsung A-Modelle, ein ähnliches Motorola oder ein kommendes Pixel6a wären für mich heuer die aussichtsreichsten Kandidaten (chinesische schließe ich aus). Mein Samsung A5 2017 läuft zwar noch gut aber ich denke mit Familienzuwachs Ende des Jahres wird der Foto- und Videobedarf etwas größer. :)
 
Banger schrieb:
Generell komme ich mit dem Akku aber 2-3 Tage aus, trotz bis zu 8 Stunden Bildschirmzeit. Schon alleine das sollte doch die Haltbarkeit verbessern, wenn das Handy eben nicht täglich an den Saft muss.
An der Stelle kurz der Hinweis: Wenn du trotzdem jeden Tag, aber dann nur ~30% lädst (z.B. immer 30% -> 60%), erhöht sich die Lebensdauer nochmal enorm. Gegenüber alle 3 Tage voll laden dürfte das die Zyklenlebensdauer mindestens verdoppeln, wenn nicht vielleicht sogar verdreifachen (kommt sehr auf die spezifische Technologie etc. an).

Kurzes Beispiel hier:
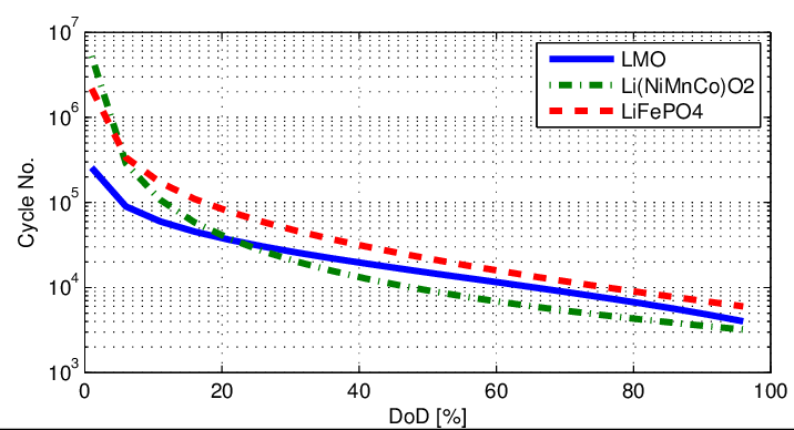
1647594456801.png


Grob abgeschätzt liegt hier die Zyklenlebensdauer bei 90% depth of discharge bei 3000 (3*10^3) und bei 30% DoD bei 20.000 (2*10^4), das wäre sogar etwas über dem Sechsfachen. Aber das ist jetzt schon extrem.
 
  • Gefällt mir
Reaktionen: Banger
Meine Freundin hat sich vor paar Monaten noch das a52 gekauft. Für nen sehr guten Preis gab es das da bei Otto. Ein schönes Gerät und p/l passt auch.

Das a53 als Nachfolger was nicht wirklich besser ist für 450 Euro, nicht wirklich ein guter Deal.

Ich hab mir diese Woche das neue poco x4 pro 5G gekauft. 6/128 für 250 Euro im early bird Sale. Was am Samsung da 200 Euro mehr Wert sein soll, hab ich leider nicht gefunden 🤷

Samsung ist mittlerweile auch im midrange Bereich nur noch unverschämt teuer.
 
Schon verrückt, was heutzutage bei der Technik als Mittelklasse durchgeht. Für ~500€ habe ich damals einige Wochen nach Marktstart in einem Angebot das Note 3 gekauft, was damals absolute Highend-Klasse war. Der Launchpreis war zugegebenermaßen natürlich deutlich höher, aber auch der Preisverfall schon kurz nach Release deutlich krasser. Und auch die damaligen Launchpreise immer noch meilenweit weg von dem was mittlerweile die Oberklasse zum Launch kostet. Aber bei Grafikkarten ists ja nicht anders...

Ich persönlich gebe auch mal mehr aus für Technik, aber ich frage mich halt wirklich wie man dem "Normalbürger" bei einem Smartphone zwischen 449-509€ Startpreis noch was von Mittelklasse erzählen will.
 
  • Gefällt mir
Reaktionen: pseudopseudonym und Roach13
Roach13 schrieb:
Meine Freundin hat sich vor paar Monaten noch das a52 gekauft. Für nen sehr guten Preis gab es das da bei Otto. Ein schönes Gerät und p/l passt auch.
Wobei man hier nicht das A52, A52 5G und A52s 5G verwechseln sollte. Gegenüber dem A52 (ohne s und ohne 5G) ist das A53 durchaus eine Verbesserung.
1647596969658.png

https://www.gsmarena.com/compare.php3?&idPhone1=10641&idPhone2=10631&idPhone3=11039

Das A52 kam mit einem vergleichsweise leistungsschwachen und "alten" SoC auf den Markt, weshalb Samsung sich wohl auch entschlossen haben dürfte später das A52s herauszubringen.
 
Zuletzt bearbeitet:
beide wireless charging?
 
xexex schrieb:
Wobei man hier nicht das A52, A52 5G und A52s 5G verwechseln sollte. Gegenüber dem A52 (ohne s und ohne 5G) ist das A53 durchaus eine Verbesserung.
Anhang anzeigen 1198585
https://www.gsmarena.com/compare.php3?&idPhone1=10641&idPhone2=10631&idPhone3=11039

Das A52 kam mit einem vergleichsweise leistungsschwachen und "alten" SoC auf den Markt, weshalb Samsung sich wohl auch entschlossen haben dürfte später das A52s herauszubringen.

Das hast du recht, "nicht wirklich besser" passt dann doch eher noch zum a52s.
 
xexex schrieb:
Die meisten Hersteller liefern schon bereits seit vielen Jahren kein Netzteil mehr mit, sondern maximal ein passendes USB Kabel. Nur bei den Smartphones war oft noch ein Netzteil beigelegt worden, obwohl die Richtlinie damit dieser Unsinn aufhört, schon älter als 10 Jahre alt ist.


Das tun sie, denn was sie auf keinen Fall tun werden, ist weniger Gewinn an einem Smartphone zu machen und selbst ein 5€ Netzteil und 3€ Headset ist bei deinem Smartphone im Preis mit drin.
Du vergleichst hier aber Hardware a la Maus/Tastatur/Headset etc. mit einem Smartphone. Da ist mir keine Hardware bekannt die zB 60W Laden unterstützt etc.
Die Richtlinie ist aber eher, dass die Hersteller nicht mehr ihre eigenen Anschlüsse verbauen sondern auf microUSB (damals) bzw. USB Typ C setzen.

Bei den Smartphones war immer ein passendes NT dabei und jetzt wird hier jetzt gespart und der Preis nach oben gedrückt. Und waren nicht immer die Hersteller die meinen: NUR Original Netzteile verwenden etc.

Was bringt es MIR, wenn der Hersteller mehr Gewinn macht damit? Ich kaufe ja ein Gerät für mich und nicht damit der Hersteller mich über den Tisch zieht. Wenn Samsung den Preisvorteil dem Kunden weitergibt, dann wäre es vollkommen in Ordnung. Das würde ich sogar begrüßen. Diejenigen die darauf verzichten, zahlen halt weniger. Aber das ich das gleich mehr zahle und dafür weniger bekomme sehe ich nicht ein
 
  • Gefällt mir
Reaktionen: Roach13
xexex schrieb:
die meisten dürften mittlerweile eine ganze Schublade voll USB-Ladegeräte haben oder Ladebuchsen in Möbeln, Steckdosen oder Autos integriert haben. Man hätte es der Umwelt zuliebe eigentlich schon seit Jahren so handhaben sollen.
Sehe ich komplett anders.

1.) Ich habe keine Kisten voller Ladegeraete rumstehen, und Buchsen in artfremden Geraeten vertraue ich garantiert nicht mein 1000,- Handy an.

2.) Wuerde ein von der jeweiligen Firma zertifiziertes, also zugelassenes und getestetes, Netzteil mit geliefert, kaeme das garantiert mehr der Umwelt zu Gute, als der anschliessende Kauf unbekannter Netzteile, die ggf. nicht passend od. lebens- oder geraetegefaehrder sind, dann zusaetzlich entsorgt werden muessen, also Netzteile od. dann auch zerschossen Handy od. andere Geraete, die ggf durch Kurzschluss od. aehnliches gehimmelt wurden...
 
  • Gefällt mir
Reaktionen: pseudopseudonym
Rickmer schrieb:
@nlr das könnte noch im Artikel ergänzt werden
Danke für den Hinweis.

Ich habe die Helligkeit der Panels übrigens zweimal bei Samsung im Vorfeld der News angefragt.
Einmal davon auch explizit, ob die 420 nits auch für Outdoor gelten. Antwort: ja.

"Produktexperten" :hammer_alt:
 
  • Gefällt mir
Reaktionen: Tenferenzu und Rickmer
DickerBass schrieb:
Xiaomi hatte auf irgendeiner Präsentation ein intelligentes Laden ähnlich bei Apple vorgestellt. Das Smartphone erkennt dann selbstständig anhand eines regelmäßigen Laderythmus wann du normalerweise das vollgeladene Handy benötigst. So lädt es dann z.B über Nacht bis 80%, stoppt dann und lädt den Rest in der Zeit bis zum Aufstehen.

Ich denke das minimiert den Stress für die Zellen schon etwas, wenn man dem Akku also Zeit zum abkühlen gibt. Temperatur ist ja afaik beim Schnellladen ein großer Bestandteil des Verschleiß. Deshalb würde ich versuchen dass Smartphone prinzipiell immer über Nacht zu laden und schauen ob der Algorithmus das vernünftig erkennt. Ansonsten bleibt wohl nichts als auf ein Update zu warten was eine Funktion wie bei Samsung bringt oder einen kleineren Charger zu nutzen.
Das macht mein Sony von 2018, das ist doch ein triviales Basisfeature. Ist das etwa immer noch nicht Standard bei allen Smartphones aller Hersteller? Das finde ich ehrlich gesagt erschreckend.

Es macht übrigens nach ein paar Jahren einen gigantischen Unterschied im Akkuzustand. Das Feature spart über die Lebensdauer des Geräts mindestens einen Akkutausch.
 
Sylar schrieb:
Die Richtlinie ist aber eher, dass die Hersteller nicht mehr ihre eigenen Anschlüsse verbauen sondern auf microUSB (damals) bzw. USB Typ C setzen.
Die Richtlinie sah von Anfang an ein "einheitliches" Ladegerät vor.
1647600340198.png

https://de.wikibrief.org/wiki/Common_external_power_supply

Auch in anderen Ländern wurden ähnliche Konzepte vorgestellt, ein richtiger Gesetz kam bis heute daraus aber nicht zustande, dies befindet sich aber aktuell in Arbeit.

Um tatsächlich Elektroschrott einzusparen, will die EU-Kommission auch vorschreiben, dass neue Handys ohne beigelegte Ladegeräte verkauft werden – das soll Nutzer:innen motivieren, alte Geräte länger zu nutzen. Umweltorganisationen glauben, dass auf diese Art rund 29.000 Tonnen Elektromüll im Jahr eingespart werden kann – das entspräche dem 70-fachen Gewicht der Internationalen Raumstation ISS.
https://netzpolitik.org/2021/neues-eu-gesetz-warum-alle-handys-eine-usb-c-buchse-kriegen-sollen/
Da mögen noch so viele Leute hier im Forum behaupten sie würden die Ladegeräte weiter nutzen oder mit dem Handy veräußern. Tatsächlich landet aber der größte Teil jedes Jahr im Müll.
 
S.K. schrieb:
Lohnt es sich nicht eher ein gebrauchtes S10 zu kaufen als die A Serie? Kostet meist keine 200 und dürfte mehr können.
Ich denke S20 FE G780G (mit snapdragonprozessor) ist da der deutlich bessere Deal für das Geld
 
Ein einheitliches Ladegeräte ist natürlich sehr gut, aber da sind wir noch weit weg davon...Geräte wie Router, Switches, Modem, TV Boxen etc. haben noch immer unterschiedliche Stecker. Da sollte auch mal USB Typ C sich durchsetzen.

xexex schrieb:
Da mögen noch so viele Leute hier im Forum behaupten sie würden die Ladegeräte weiter nutzen oder mit dem Handy veräußern. Tatsächlich landet aber der größte Teil jedes Jahr im Müll.
Warum soll man ein NT wegschmeißen? Da wird das beigelegte NT dann im Büro oder woanders genutzt. Habe noch nie daran gedacht ein NT zu entsorgen, weil das Smartphone verkauft/defekt/verschenkt wurde. Dann liegt es halt irgendwo auf Reserve.

Auch Ladegeräte halten nicht unendlich lang bzw. muss man sowieso 1-2 Ladegeräte kaufen im schlimmsten Fall, weil man auch im Büro zB schnell laden möchte oder gar kein NT mehr hat etc.

So hingegen muss ich halt wieder ein NT bei Amazon zB und hat aber dann wieder eine Extra Bestellung, eine extra Verpackung und einmal Extra Versand zum Smartphone...Wo am Ende es noch schlechter ist für die Umwelt.

Außerdem sind Ältere Netzteile ja meistens weniger effizient
 
Sylar schrieb:
Außerdem sind Ältere Netzteile ja meistens weniger effizient
Wenn du damit die Ladedauer meinst, dann stimmt es. Beim Wirkungsgrad tut sich aber kaum etwas. Ein 10 Jahre altes Ladegerät hat bereits Energieeffizienzklasse 5.
Ein aktuelles Netzteil/Ladegerät hat Energieeffizienzklasse 6, wo es nur beim Leerlauf und Last bei 10% eine Verbesserung gibt und die Erweiterung des Kontrollbereichs auf drahtlose Niederspannungs-Ladegeräte.
https://de.globtek.com/technical-ar...vel-vi-energieeffizienz-standards-zu-erfullen
http://de.cn-wtpower.com/info/eu-cocv5-level-6-energy-efficiency-standard-fo-63723329.html
Nur wegen einer besseren Energieeffizienzklasse ein neues Ladegerät zu kaufen, ist für die Umwelt eher schädlich. Die CO2 Bilanz ist damit schlechter als das alte weiter zu nutzen.
 
Sylar schrieb:
Dann liegt es halt irgendwo auf Reserve.
Irgendwann ist die Schublade voll, mein erstes Micro-USB Ladegerät habe ich mit einem Nokia E51 irgendwann 2008 gekriegt. Seit dem folgten zig Phones, E-Zigs und diverser Kram, dem in den ersten Jahren noch immer ein Ladegerät beilag.

Irgendwann habe ich dann für Zuhause zwei von denen gekauft und ein kleines Dual Reiseladegerät ergänzt das ganze. Die billigen Beigaben bleiben im Karton und landen später im Müll.

1647612727877.png

https://www.amazon.de/gp/product/B07F1JPZBL
 
deo schrieb:
Nur wegen einer besseren Energieeffizienzklasse ein neues Ladegerät zu kaufen, ist für die Umwelt eher schädlich. Die CO2 Bilanz ist damit schlechter als das alte weiter zu nutzen.
Ich kaufe ja kein neues Ladegerät, sondern das Ladegerät ist ja schon dabei. Aber wenn ich nicht das passende Ladegerät Zuhause habe, werde ich mir halt as NT aber bestellen, was die Umwelt eher schadet als hilft..

Wenn ich es mal eilig habe, dann brauch ich halt am Arbeitsplatz ein schnelles Ladegerät. Ich schleppe ja das Ladegerät jeden Tag mit. Damit ich Zuhause und in der Arbeit schnell Laden kann, wenn ich es brauche...

xexex schrieb:
Irgendwann ist die Schublade voll, mein erstes Micro-USB Ladegerät habe ich mit einem Nokia E51 irgendwann 2008 gekriegt. Seit dem folgten zig Phones, E-Zigs und diverser Kram, dem in den ersten Jahren noch immer ein Ladegerät beilag.

Irgendwann habe ich dann für Zuhause zwei von denen gekauft und ein kleines Dual Reiseladegerät ergänzt das ganze. Die billigen Beigaben bleiben im Karton und landen später im Müll.
Die Hersteller legen dir die passende Netzteile dazu und du schmeißt sie in den Müll und besorgst dir 2 solche Ladegerät + Reiseladegerät. Und wenn das Teil nach der Garantie defekt ist, hast am Ende noch mehr Müll produziert als zuvor.

Wie gesagt, wenn Samsung das NT weglässt und den Preis ergänzt und ein Coupon für ein NT bereitstellt, dann wäre es hier vollkommen in Ordnung. Aber so ist es nur ein Aufpreis für den Endkunden.
 
Sylar schrieb:
Die Hersteller legen dir die passende Netzteile dazu und du schmeißt sie in den Müll und besorgst dir 2 solche Ladegerät + Reiseladegerät
Die Hersteller legen irgendwelche billigen Netzteile dazu, an die ich maximal ein Gerät anschließen kann. Brauche ich nicht, will ich nicht und in der Zukunft hört der Unsinn auch auf, so simpel ist das. Dann kann sich ja jeder die für ihn passenden Netzteile dazu kaufen und sie solange nutzen wie er lustig ist.

"Passend" sind die Netzteile nur der Gewinnmarge des Herstellers und in der Zukunft muss wenigstens niemand mehr für etwas bezahlen, was er möglicherweise eh nicht nutzt.
 
xexex schrieb:
[...] mein erstes Micro-USB Ladegerät habe ich mit einem Nokia E51 irgendwann 2008 gekriegt.
Mein Nokia E51 kam noch nicht mit einen USB Netzteil, sondern mit einen Nokia typischen (proprietären) Netzteil. Ein USB Kabel für die Verbindung zum PC befand sich im Lieferumfamg des Geräts.

Wer bestelt heute eigentlich kein Schnellader zum neuen Smartphone dazu?
Gerade das schnelle Laden des Smartphones zwischen zwei Terminen ist doch eine stärke der aktuellen Geräte.

Geräte die ewig zum Laden brauchen, gehen zurück zum Hersteller.
 
  • Gefällt mir
Reaktionen: Optiki
Zurück
Oben