Dann trage ich "meinen" Thread aus dem OK-Forum mal hier herüber, mit gleichem Titel:
Mein FTTH-Anschluss (GPON) von der Fa. Vodafone wurde im August 2021 geschaltet. Ich gehöre zu den ersten 100 Kunden im Amtsgebiet, die angeschaltet wurden.
Aktuell (08.2021) verbaut Vodafone ein Nokia G-010G-Q ONT dieser wird dann ganz normal über den WAN-Port mit einer AVM-Fritzbox 7590 verbunden.
Tarif: Red Internet & Phone 1000 Glasfaser inkl. 5 Euro Regio-Zuschlag
Bandbreite: 1000Mbit/s Download / 250Mbit/s Upload
Produktinformationsblatt gem. §1 TK-Transparenzverordnung: Red Internet & Phone 1000 Glasfaser Regio-Zuschlag 5
Mathematisch betrachtet kann der Anschluss maximal folgende Werte liefern:
1000Mbit/s maximaler Durchsatz (VLAN/TCP/IPv4)
1000Mbit/s * ((1500-20-20)/(1500+38+4)) ≈ 946,82 Mbit/s
Speedtest:
1) Deutsche Glasfaser
2) Speedtest.net Server: Telekom Hamburg
3) Messkampagne gemäß BNetzA
Traceroute:
Heise.de
Google.de
Sonstiges, Stand: 08.2021
Sachstand 12.2021
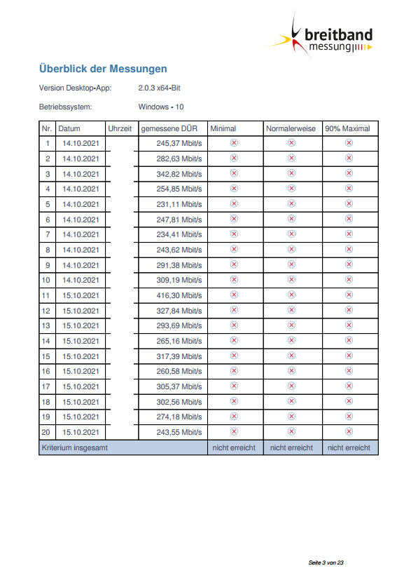
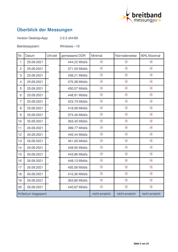
Leider habe ich im September feststellen müssen, dass der Anschluss nicht mehr die ursprüngliche Performance leistet. Dazu habe ich mehre Messreihen durchgeführt. Es ist davon auszugehen, dass nur einige Routen vom BNG in Hamburg überlastet sind. Vodafone hat im Dezember 2021 das als Regionalstörung betitelt. Für mich ist diese Aussage etwas verwunderlich und sicherlich mit vorausschauendem Management auch verhinderbar gewesen.
Deswegen habe jetzt nach der neuen Allgemeinverfügung (Nr. 99/2021) der BNetzA erst mal mein Minderungsanspruch geltend gemacht.
Messkampagne gemäß BNetzA
September 2021
Oktober 2021
Dezember 2021
Download
Upload
Sachstand : 05.09.2025
So, meine Freunde, nach sehr langer Zeit gibt es mal ein Update zu meinem Anschluss.
Heute ist ein langer Kampf zu Ende gegangen.
Bei mir wurde heute offiziell eine Fritzbox 5530 in Betrieb genommen. Das bedeutet, dass das Nokia ONT nun Geschichte ist.
Leider bestehen die Performance-Probleme wohl im Zusammenhang mit dem Nokia ONT. Gerade die Q-Serie ist dafür bekannt, so der Techniker. Ab sofort wird bei neuen Anschlüssen die R-Serie verbaut, die keine Probleme mehr bereiten soll. Kunden, die nachweisen können, dass ihr Anschluss die im Produktinformationsblatt angegebene Performance nicht bietet, werden von Vodafone voraussichtlich kostenlos auf die Nokia (ONT) R-Serie umgestellt. Mir wurden jedenfalls keine Kosten genannt, die mir entstehen können.
Vodafone kann erst seit März 2025 kundeneigene ONTs bei Nokia-Linecards portieren, da hierfür eine andere Lizenz erforderlich war. Bei Huawei-Linecards war das wohl vorher schon möglich.
Einerseits geht mein Dank an golem, die das Thema damals aufgegriffen haben, andererseits an die Verbraucherzentrale Rheinland-Pfalz. Und natürlich auch an die Techniker von VF, die sicherlich regelmäßig intern auf diesen Missstand aufmerksam gemacht haben.
PS: Liebe Vodafone-Technik ❤️, für die Nerds unter uns: Ihr könntet nun auch 1.050 Mbit/s im Downstream zulassen. Das wäre toll für Kunden, die ein Netzwerk mit mehr als 1000 Mbit/s betreiben.
FAQ: Wie kann ich am einfachsten nachweisen, dass ich Performance Probleme habe?
Eigentlich würde ich an dieser Stelle auf die Breitbandmessung der BNetzA verweisen.
Dieses Tool und die dazugehörige Messkampagne wären das ideale Tool. Leider ist dieser Weg sehr aufwendig und man benötigt eine E-Mail-Adresse von Vodafone, um das Problem zu melden.
Ich würde stattdessen vorschlagen, gut vorbereitet ein Störungsticket bei der Hotline von Vodafone zu eröffnen.
Bevor ihr das Problem meldet, müsst ihr jedoch einige Messungen durchführen.
Bitte führt eine ehrliche Messung durch!
Dazu verbindet ihr euren PC direkt per LAN-Kabel mit eurem Router. Wenn ihr ein Laptop nutzt, verbindet dieses ebenfalls mit einem LAN-Kabel und deaktiviert das WLAN. Verbindet das Laptop außerdem mit dem dazugehörigen Netzteil.
Deaktiviert außerdem sämtliche anderen Geräte in eurem Netzwerk. Am einfachsten geht dies, wenn ihr für diese Messungen das WLAN in eurem Router deaktiviert und alle anderen per LAN mit dem Router verbundenen Geräte trennt.
Anschließend gehen wir auf https://speedtest.vodafone.de/ und führen die Messung durch.
Für das Störungsticket sind drei Messungen erforderlich, die am besten an drei unterschiedlichen Tagen und zu unterschiedlichen Uhrzeiten durchgeführt werden sollten.
Ich habe die besten Erfahrungen damit gemacht, jeweils zwei Messungen an einem Tag mit einem Abstand von zehn Minuten durchzuführen. Also insgesamt 6 Messungen verteilt über drei Tage.
Wenn der Test durchgeführt wurde, sollte eine Grafik angezeigt werden, die anzeigt, ob der Anschluss richtig performt oder nicht.
Unten links wird außerdem die Speedtest-ID angezeigt. Diese müsst ihr notieren oder einen Screenshot davon machen.
Denkt daran euer WLAN und die Geräte die per LAN angeschlossen waren wieder zu verbinden.
Nachdem wir die erforderlichen Tests durchgeführt haben, können wir die Hotline anrufen.
Bleibt dabei freundlich, denn die Mitarbeiter können nichts für diese Probleme.
Dazu benötigt ihr eure Kundennummer und das Passwort, das ihr beim Vertragsabschluss angegeben habt. Manchmal reicht auch eure Adresse statt des Passworts. Außerdem benötigt ihr mindestens drei Speedtest-IDs.
Meldet dann ganz sachlich, dass ihr Performance-Probleme habt und dass ihr dazu Messungen mit dem Vodafone-eigenen Speedtest durchgeführt habt. Erklärt, dass diese Messungen auch per LAN durchgeführt wurden.
Während des Prozesses werdet ihr gebeten, dem Mitarbeiter drei Speedtest-IDs zu nennen. Nach einiger Zeit sind alle Angaben in deren System hinterlegt und ihr erhaltet per SMS eine Störungsticketnummer.
Nach ein paar Tagen ruft euch ein Mitarbeiter aus dem Backoffice an.
Schildere den Sachverhalt sachlich. Vermutlich sind von zehn Speedtests, die die Kollegen bearbeiten, neun falsch durchgeführte Messungen der Kunden.
Fragt ihn direkt, ob diese Performance-Probleme im Zusammenhang mit den Nokia ONTs (Q-Serie) stehen können. Wenn er anhand eurer Messungen zu dem gleichen Ergebnis kommt, wird er sicherlich einen internen Austausch des ONTs veranlassen.
Dieser Mitarbeiter kann euch auch die ONT-Installationskennung mitteilen. Wenn ihr, wie ich, auf das Nokia ONT verzichten und stattdessen eine Fritzbox 5530 nutzen wollt.
PS: Dieser FAQ darf gerne publiziert und genutzt werden
Mein FTTH-Anschluss (GPON) von der Fa. Vodafone wurde im August 2021 geschaltet. Ich gehöre zu den ersten 100 Kunden im Amtsgebiet, die angeschaltet wurden.
Aktuell (08.2021) verbaut Vodafone ein Nokia G-010G-Q ONT dieser wird dann ganz normal über den WAN-Port mit einer AVM-Fritzbox 7590 verbunden.
Tarif: Red Internet & Phone 1000 Glasfaser inkl. 5 Euro Regio-Zuschlag
Bandbreite: 1000Mbit/s Download / 250Mbit/s Upload
Produktinformationsblatt gem. §1 TK-Transparenzverordnung: Red Internet & Phone 1000 Glasfaser Regio-Zuschlag 5
Mathematisch betrachtet kann der Anschluss maximal folgende Werte liefern:
1000Mbit/s maximaler Durchsatz (VLAN/TCP/IPv4)
1000Mbit/s * ((1500-20-20)/(1500+38+4)) ≈ 946,82 Mbit/s
Speedtest:
1) Deutsche Glasfaser
2) Speedtest.net Server: Telekom Hamburg
3) Messkampagne gemäß BNetzA
Traceroute:
Heise.de
Google.de
Sonstiges, Stand: 08.2021
Es gibt wohl noch keine IPv6 Unterstützung.Die Umstellung auf eine AVM Fritzbox 5530 ist schon beim Glasfaserbackoffice gestellt. Die ONT-Kennung wurde mir auch schon per Telefon mitgeteilt. Der Kundensupport ist sehr bemüht und möchte mich dazu noch mal Rückrufen. Es bleibt also spannend.
Sachstand 12.2021
Leider habe ich im September feststellen müssen, dass der Anschluss nicht mehr die ursprüngliche Performance leistet. Dazu habe ich mehre Messreihen durchgeführt. Es ist davon auszugehen, dass nur einige Routen vom BNG in Hamburg überlastet sind. Vodafone hat im Dezember 2021 das als Regionalstörung betitelt. Für mich ist diese Aussage etwas verwunderlich und sicherlich mit vorausschauendem Management auch verhinderbar gewesen.
Deswegen habe jetzt nach der neuen Allgemeinverfügung (Nr. 99/2021) der BNetzA erst mal mein Minderungsanspruch geltend gemacht.
Messkampagne gemäß BNetzA
September 2021
Oktober 2021
Dezember 2021
Download
Upload
Es gibt keine IPv6-Unterstützung.✅
Bisher lehnt Vodafone eine Portierung eines eigenen Kunden ONT ab.✅
Meiner Meinung nach ist das nur eine Momentaufnahme, da dies sicherlich irgendwann grundsätzlich für alle Provider juristisch geklärt wird. Siehe z.B. die BUGLAS Diskussion mit Hilfe der CB Redaktion könnte man den Druck auf die Provider auch wieder erhöhen.
Anscheinend nutzt Vodafone in anderen Ausbaugebiete auch Huawei Hardware (Kann das jemand bestätigen?)✅
Sachstand : 05.09.2025
So, meine Freunde, nach sehr langer Zeit gibt es mal ein Update zu meinem Anschluss.
Heute ist ein langer Kampf zu Ende gegangen.
Bei mir wurde heute offiziell eine Fritzbox 5530 in Betrieb genommen. Das bedeutet, dass das Nokia ONT nun Geschichte ist.
Leider bestehen die Performance-Probleme wohl im Zusammenhang mit dem Nokia ONT. Gerade die Q-Serie ist dafür bekannt, so der Techniker. Ab sofort wird bei neuen Anschlüssen die R-Serie verbaut, die keine Probleme mehr bereiten soll. Kunden, die nachweisen können, dass ihr Anschluss die im Produktinformationsblatt angegebene Performance nicht bietet, werden von Vodafone voraussichtlich kostenlos auf die Nokia (ONT) R-Serie umgestellt. Mir wurden jedenfalls keine Kosten genannt, die mir entstehen können.
Vodafone kann erst seit März 2025 kundeneigene ONTs bei Nokia-Linecards portieren, da hierfür eine andere Lizenz erforderlich war. Bei Huawei-Linecards war das wohl vorher schon möglich.
Einerseits geht mein Dank an golem, die das Thema damals aufgegriffen haben, andererseits an die Verbraucherzentrale Rheinland-Pfalz. Und natürlich auch an die Techniker von VF, die sicherlich regelmäßig intern auf diesen Missstand aufmerksam gemacht haben.
PS: Liebe Vodafone-Technik ❤️, für die Nerds unter uns: Ihr könntet nun auch 1.050 Mbit/s im Downstream zulassen. Das wäre toll für Kunden, die ein Netzwerk mit mehr als 1000 Mbit/s betreiben.
FAQ: Wie kann ich am einfachsten nachweisen, dass ich Performance Probleme habe?
Eigentlich würde ich an dieser Stelle auf die Breitbandmessung der BNetzA verweisen.
Dieses Tool und die dazugehörige Messkampagne wären das ideale Tool. Leider ist dieser Weg sehr aufwendig und man benötigt eine E-Mail-Adresse von Vodafone, um das Problem zu melden.
Ich würde stattdessen vorschlagen, gut vorbereitet ein Störungsticket bei der Hotline von Vodafone zu eröffnen.
Bevor ihr das Problem meldet, müsst ihr jedoch einige Messungen durchführen.
Bitte führt eine ehrliche Messung durch!
Dazu verbindet ihr euren PC direkt per LAN-Kabel mit eurem Router. Wenn ihr ein Laptop nutzt, verbindet dieses ebenfalls mit einem LAN-Kabel und deaktiviert das WLAN. Verbindet das Laptop außerdem mit dem dazugehörigen Netzteil.
Deaktiviert außerdem sämtliche anderen Geräte in eurem Netzwerk. Am einfachsten geht dies, wenn ihr für diese Messungen das WLAN in eurem Router deaktiviert und alle anderen per LAN mit dem Router verbundenen Geräte trennt.
Anschließend gehen wir auf https://speedtest.vodafone.de/ und führen die Messung durch.
Für das Störungsticket sind drei Messungen erforderlich, die am besten an drei unterschiedlichen Tagen und zu unterschiedlichen Uhrzeiten durchgeführt werden sollten.
Ich habe die besten Erfahrungen damit gemacht, jeweils zwei Messungen an einem Tag mit einem Abstand von zehn Minuten durchzuführen. Also insgesamt 6 Messungen verteilt über drei Tage.
Wenn der Test durchgeführt wurde, sollte eine Grafik angezeigt werden, die anzeigt, ob der Anschluss richtig performt oder nicht.
Unten links wird außerdem die Speedtest-ID angezeigt. Diese müsst ihr notieren oder einen Screenshot davon machen.
Denkt daran euer WLAN und die Geräte die per LAN angeschlossen waren wieder zu verbinden.
Nachdem wir die erforderlichen Tests durchgeführt haben, können wir die Hotline anrufen.
Bleibt dabei freundlich, denn die Mitarbeiter können nichts für diese Probleme.
Dazu benötigt ihr eure Kundennummer und das Passwort, das ihr beim Vertragsabschluss angegeben habt. Manchmal reicht auch eure Adresse statt des Passworts. Außerdem benötigt ihr mindestens drei Speedtest-IDs.
Meldet dann ganz sachlich, dass ihr Performance-Probleme habt und dass ihr dazu Messungen mit dem Vodafone-eigenen Speedtest durchgeführt habt. Erklärt, dass diese Messungen auch per LAN durchgeführt wurden.
Während des Prozesses werdet ihr gebeten, dem Mitarbeiter drei Speedtest-IDs zu nennen. Nach einiger Zeit sind alle Angaben in deren System hinterlegt und ihr erhaltet per SMS eine Störungsticketnummer.
Nach ein paar Tagen ruft euch ein Mitarbeiter aus dem Backoffice an.
Schildere den Sachverhalt sachlich. Vermutlich sind von zehn Speedtests, die die Kollegen bearbeiten, neun falsch durchgeführte Messungen der Kunden.
Fragt ihn direkt, ob diese Performance-Probleme im Zusammenhang mit den Nokia ONTs (Q-Serie) stehen können. Wenn er anhand eurer Messungen zu dem gleichen Ergebnis kommt, wird er sicherlich einen internen Austausch des ONTs veranlassen.
Dieser Mitarbeiter kann euch auch die ONT-Installationskennung mitteilen. Wenn ihr, wie ich, auf das Nokia ONT verzichten und stattdessen eine Fritzbox 5530 nutzen wollt.
PS: Dieser FAQ darf gerne publiziert und genutzt werden
Zuletzt bearbeitet:
(Screenshot upload ergänzt. | Update vom 05.09.2025 | FAQ hinzu |)



