Leserartikel Dezentrale Kühlkörper Halterung / OC Bracket für AMD 3900X und 3700X

Status
Für weitere Antworten geschlossen.
Duke711 schrieb:
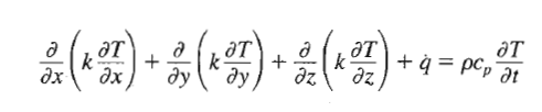
die Temperaturdifferenz ist alleine nur proportional zum Wärmestrom und somit zur Last und den Lastspitzen der CPU
Mal nur Wärmeleitung betrachtet...
1594069442385.png

Also ich sehe da noch ein wenig mehr als den Wärmestrom, der da Einfluss hat. Gerade bei instationären Fällen kann man auch nicht einfach den rechten Term zu Null setzen. k ist übrigens die Wärmeleitfähigkeit, also auch ein Maß für den Wärmewiderstand, dem du schon zuvor den Einfluss abgesprochen hast.

Man würde auch bei einer instationären Messung keinen Median nutzen (dann wäre das Ergebnis hier das für einen quasistationären Fall mit niedrigerer effektivem Wärmestrom , sondern höchstens einen gleitenden Mittelwert/Median, um Spitzen zu filtern.

Ich dachte eigentlich, ich hätte hier eine bequeme Vorlage gegeben, bei der du nur "ja - ja - ja - nein, sondern xyz - ja" hättest anworten müssen, damit alle bescheid wissen, die es interessiert. Aber derlei Nachfragen einfach völlig zu ignorieren und weiter alle im Dunkeln zu lassen, stärkt jetzt auch nicht gerade das Vertrauen in deine Ergebnisse. Es kann sie so einfach niemand nachvollziehen, weil immer noch nicht klar ist, was du getan hast (außer "nicht gemessen").
Erinnert mich ein bisschen an Verschlüsselungsverfahren, die geheim gehalten werden, damit sie "sicher" sind. Die sind nur leider dann meist nicht sicher (Ausnahmen bestätigen die Regel).

Also mir geht hier auch langsam zu viel richtiges und falsches durcheinander. Das lässt sich nur mit ganz viel Aufwand wieder auseinanderdröseln. Antworten zur Vorgehensweise können wir wohl leider nicht mehr erwarten und damit hilft der Artikel, für den du sicher einiges an Zeit investiert hast, den meisten Leuten vermutlich sehr wenig.

Ich werde wohl in den nächsten Tagen nochmal reinschauen, vielleicht hattest du ja nur noch nicht die Zeit, die Infos zu ergänzen. In dem Fall hätte aber ein kurzer Hinweis ("Ergänze ich in ein paar Tagen!") viel Diskussion erspart. Ohne diese Ergänzungen bleibt es leider einfach nur eine (durchaus plausible) Meinung, wobei ich die Ergebnisse immer noch nicht anzweifel. Sie können aber genau so gut richtig, wie falsch sein.
 
  • Gefällt mir
Reaktionen: Baal Netbeck und Knut Grimsrud
Duke711 schrieb:
Bitte nicht böse nehmen.
Es war verdammt schwer überhaupt rein zu kommen. Was willst du sagen. Das ganze nachzuvollziehen. Ehrlich wenn andere hier nicht Licht ins dunkel gebracht hätte... Ich würde immer noch denke. Was das für ein *******?!

Das du auf einer Seite nen Problem ansprichst. Mängel.
diese dann aber selbst machst...

Wie der Typ der nen V8 Auto Fahrer voll quatscht was er doch für ne umwelts** ist. Dann aber in seinen Ferrari steigt.

Nicht immer gleich alles persönlich nehmen.
Das Thema ist interessant. Sonst wäre es nicht auf die hauptseite gekommen.

Aber die Aufmachung. Wie du da ran gegangen bist war halt für viele nicht ganz klar. Plus halt mit dem Finger auf andere zeigen aber vorm Spiegel stehen.

Ich würde das ganze nochmal überarbeiten. Dann hat das auch den Nutzen den du vermutlich erzielen wolltest.

Mfg
 
  • Gefällt mir
Reaktionen: Baal Netbeck
buddha281 schrieb:
k ist übrigens die Wärmeleitfähigkeit, also auch ein Maß für den Wärmewiderstand, dem du schon zuvor den Einfluss abgesprochen hast.

Habe ich direkt wo abgesprochen?

Wärmewiderstand:

  • Wärmeleitung Silizium Chiplet
  • Wärmeleitung Silizium Oxid
  • Wärmeleitung sTIM (AL,Indium)
  • Wärmeleitung Nickel
  • Wärmeleitung HS (E_CU)
  • Wärmeleitung Nickel
  • Wärmeleitung WLP
  • Wämeleitung Kühler
  • Wärmeübergang Fluid

In wie weit ändert sich nun der thermale Widerstand bei einer bestehenden Messung (inkl. Temperatur abhängige Wärmeleitfähigkeiten)

Das kannst Du und sicher ausführlich erklären aus sicher auch ausrechnen?


buddha281 schrieb:
Man würde auch bei einer instationären Messung keinen Median nutzen (dann wäre das Ergebnis hier das für einen quasistationären Fall mit niedrigerer effektivem Wärmestrom , sondern höchstens einen gleitenden Mittelwert/Median, um Spitzen zu filtern.

Aha oder einfach den höchsten Wert annehmen:

Da

Q= A * dT * k oder

dT = Q / A * k

Ganz einfach, da sich k und A nicht ändern, ist das direkt proportional zum Wärmestrom und somit zu Leistung der CPU, oder siehe einfach hier:

https://www.computerbase.de/forum/t...gleiche-datensaetze-rund-um-kuehlung.1922950/

Wärmestromdichte, Direkt Die.

Ganz einfach.
Somit kann man eine einfache Staffellung von 50 - 300 Watt erstellen. Aufgabe gelöst.
Wenn Du dieser Ausführung nicht glaubst, ja dann messe mal bei einer realen CPU nach.


buddha281 schrieb:
Ich dachte eigentlich, ich hätte hier eine bequeme Vorlage gegeben, bei der du nur "ja - ja - ja - nein, sondern xyz - ja" hättest anworten müssen, damit alle bescheid wissen, die es interessiert.

Naja müssen tue ich

1. gar nichts
2. Zitat von Dir

buddha281 schrieb:
Weil es mich aus technischer Sicht interessiert (nicht, weil ich dir irgendeinen Fehler anhängen möchte

Klar sag sie alle, könnten aber dann doch nicht mit Argumenten punkten, immer das selbe Spiel hier, kenne ich schon.


buddha281 schrieb:
mit einer nicht-mittigen punktförmigen(oder 2d?) Wärmequelle konstanten Wärmestroms gemacht, richtig?

Also ich schaue mir Die-Shots an und baue die Einheiten nach, so läuft das.
Da die Transistoren Layer so gut nur wenige Nanometer dick sind, hilft wurderbar eine 2D Quelle, man muss nur wissen wo.

buddha281 schrieb:
Über der Wärmequelle hast du dann einen zweidimensionalen(? Dicke konstant=egal, wenn Widerstand in richtiger Einheit) Heatspreader mit festem Wärmewiderstand pro Strecke

Ist ja zum gähnen, ich rechne mit einem 1:1 3d Modell mit allen oben aufgezählten Schichten.

buddha281 schrieb:
Dann als Wasserkühler einen realen modelliert, Wärmeübergang HS->Kühler ohne Widerstand angenähert

Nö, alle Sichten inkl. Dicken. Also auch die Silizium-Höhe des Chiplets, der WLP etc.


buddha281 schrieb:
Der Solver berücksichtigt Konduktion und im Wasserkühler Konvektion mit den gegebenen Durchflusswerten

Nein der Solver erstellt auf Anweisung bunte Bilder. Sende mir mal bitte eine Arbeit deinerseits zu dann werde ich mal deine Kompetenzen ohne Hintergrundinformation genau anschauen und absprechen, ich finde da bestimmt was. Mehr scheinst Du ja hier nicht zu machen.


buddha281 schrieb:
Vorlauftemperatur des Wasser konstant, wie hoch?

Der Leserartikel scheint dich doch überhaupt nicht interessiert zu haben, gut wundert mich nicht. Da steht das nämlich.


buddha281 schrieb:
Ein Turbulenzmodell mit drin? Bzw. Einfluss gecheckt? Für den Wärmeübergang vom Kühler in's Wasser ist das ja ggf. nicht unwichtig (optimalerweise passt die Prandtl-Zahl)

Wenn Du hier ausreichende Kompetenzen aufweisen würdest, hättest Du spätestens jetzt nach dem Y+ gefragt. Im übrigen geht das sogar ganz ohne angenäherend Turbulenzmodell, DNS.
Welche Turbulenzmodell darf es denn sein?


buddha281 schrieb:
hab ich was vergessen?^^
Ja allerdings, finde es selber heraus

buddha281 schrieb:
weil immer noch nicht klar ist, was du getan hast (außer "nicht gemessen").

Tja das ist schon mal falsch, ich habe gemessen. Sowas nennt sich im Fachjargon übrigens Validation. Auch ich habe hier einige Temperatursenoren, Aquaero, diverse autarke Thermoelemente mit Einheit, CPUs, Mainboard. Den Wasserkühler XPX und co. ja stelle man sich mal vor.
Aber ich werde demnächst dem den ungenausten Thermoelement Typ K für euch hier absoluten Misst messen und euch Märchen verzapfen, mit netten Bildern. Sollte ich mal machen, mal schauen wie viele hier darauf reinfallen, bestimmt eine Menge, da bin ich mir sicher.


buddha281 schrieb:
Ohne diese Ergänzungen bleibt es leider einfach nur eine (durchaus plausible) Meinung, wobei ich die Ergebnisse immer noch nicht anzweifel. Sie können aber genau so gut richtig, wie falsch sein.

Tja und bin mir Sicher Du hast hier keinen einzigen Tester von Computerbase, Tester im Leserartikel jemals nach der Messtoleranz der Sensoren und ob diese überhaupt Kalibriert sind gefragt. Geschweige denn im salopen "Testvideo" bezüglich der dezentralen Halterung. Auch wenn nur einfache Typ K Thermoelement oder Inliner mit +- 1,5 K zum Einsatz kam. Ja sehr amüsant. Messen kann man übrigens viel und messen kann übrigens auch jeder irgendwas, ob es dann richtig ist, tja das ist dann eine andere Frage.
Wie ich bereits aufgeführt habe kann man die ganze Thematik auch ganz wissenschaftlich mit einen Heizelement der gleichen Wärmestromdichte klären. Die Messmethodik mit der CPU ist eher laienhaft. Die CPU Sensoren sind

1. keine wissenschaftlichen Messgeräte
2. man weiß nichts über die Toleranz, es gibt nur wenige wissenschaftliche Artikel da ist die Rede von 1,2 K was eher schlecht ist. Für die Abschaltung aber völlig ausreichend.
3. Man kann ja einach mal die Wassertemperatur im Leerlauf abgleichen und dort sind die Abweichung bei geringen Temperaturen so groß, das die CPU eben mal um einige K kälter als das Wasser selbst ist. Aber zumindest hat man ja mal gemessen ne? Die Abweichung dieser Sensoren ist also sehr schwankend, oben raus wohl 1,2 K oder etwas besser.

Mit den drei Argumenten könnte man übrigens 96% aller Test für obsolet erklären und da würden auch die Worthülsen der Tester nicht mehr weiterhelfen. Also wenn man möchte könnte man alles absprechen.

Wie bereits schon erwähnt glauben kann man viel und man sollte stets unabhängige Test miteinander vergleichen. Wenn aber 2. Test zum ähnlichen Ergebnis kommen, ein ditter aber nicht. Tja dann wäre für mich die Sache offensichtlich geklärt. Für einige andere hier wohl anscheinend nicht.
Ich würde mal den hartnäckigen Zweifeln empfehlen, macht einfach eure eigenen Test auf der Suche nach der Wahrheit vielleicht konnt ihr es ja besser, reden klappt zumindest schon mal
Ergänzung ()

Matthias80 schrieb:
Bitte nicht böse nehmen.

Neine ich nehme nichts böse, Kritik ist durch aus erwünscht. Nachfragen und Fragen natürlich auch. Aber viele werden hier doch sehr schnell unsachlich und das ist leider Fakt und versuchen hier entweder unterschwellig die Kompetenz anzuzweifeln oder ob diese Simulation überhaupt was taugt. Validation zählt nicht, kann ja jeder behaupten. Aber ich habe vergessen, Simulationen sind natürlich nur lauter bunte Bilder. Sollte man mal u.a. den Wissenschafter an den Supercomputer oder den Aerodynamikern mitteilen.
Stellt doch einfach normale Fragen, kann doch nicht so schwer sein.
 
Zuletzt bearbeitet:
  • Gefällt mir
Reaktionen: downforze
Verdammt wenn du das alles so krass gemacht hast... Warum WARUM sieht man davon nix. Mal dran gedacht das du viel zu steril an die Sache rangegangen bist?

Im Moment sind wir was cpu's und grafikkarten betrifft eh an einem Punkt angekommen. Wo tests in jede Richtung neu gedacht werden müssen. Da würden solche Erkenntnisse Gold wert sein. Aber nicht so aufgezogen.

Mfg
 
  • Gefällt mir
Reaktionen: Baal Netbeck und maloz
Guten Morgen zusammen :)
ich verfolge das hier nun schon seit Anfang an, da ich das Thema durch das Video von der8auer sehr interessant finde.
Vor allem in Voraussicht auf das Ende des Jahres, wenn ich mir einen Ryzen Desktop aufbauen werde.

Zu aller erst muss ich dem TE danken, für die Mühen die er sich gemacht hat und die Zeit die er in der Diskussion aufbringt.

ABER:
  • ist es für mich nicht klar ersichtlich, ob es sich um Theorie oder praktische Tests handelt, das wurde erst in den Kommentaren klar
  • ist es äußerst unübersichtlich mit den immer noch nicht korrekt eingefügten Anhängen
  • ist das Verfolgen des Geplänkels, welches ihr euch in den Kommentaren leistet, einfach nur ermüdend und hat für den interessierten Leser kaum Mehrwert
  • ein persönliches Fazit mit Rückschlüssen auf die Praxis wäre zum Abschluss des Tests gut

Also bitte schau, dass du den Startpost schick machst und angesprochene Kritik aus den Kommentaren evtl. mit einbeziehst.
Und denke bitte daran, dass du hier auch Laien wie mich hast, welche sich mit zu viel Wissenschaft überfordert fühlen und einfach nur schauen wollen ob und wie sehr sich sowas lohnt wenn man das mal aus theoretischer Sicht sieht.
Praktische Videos dazu gibt es ja mittlerweile einige.

Von mir eine Daumen hoch mit Hoffnung auf Nachbesserung ;-)
 
Ich habe den Startpost gelesen (aber teilweise nicht verstanden), dann die verlinkten News, dann den Thread (blieb mir auch einiges unklar) und nun nochmals den Startpost. Mir bleiben viele Fragen, die ich jetzt zusammenstelle, weil mich das Thema "Wieviel Nutzen hat eine Anpassung der Kühlung an die genaue Position der Chiplets?" grundsätzlich interessiert, denn Ryzens Boost reagiert sehr empfindlich auf die Temperatur des CCD. Von daher Dank an @Duke711, dass er sich des Themas angenommen hat.

1. Wieso fängt der erste Satz an als gab es schon eine Seite lang Gespräche? (Ein Leserartikel hat sonst eine Einleitung.)
2. CB? Ich dachte wirklich die ersten Minuten lang "Welche Benchmarks von ComputerBase?" Wenigstens EINMAL sollte man CineBench (CB) ausschreiben.
3. Allcore-Lasten wie CB oder Prime95 sind für mich keine Lastspitzen. Was genau wird denn nun betrachtet? Geht es um Lastspitzen, die wenige Sekunden (mMn. < 5s) anhalten wie in einem Spiel oder nicht?
4. Eine kurze (didaktisch reduzierte) thermodynamische Betrachtung wäre dringend nötig! Welche Last wird denn als Basis für die stationäre Temperatur angesehen und wie wird diese Last kurzzeitig erhöht? Es scheint mir, als würde zur Vereinfachung idle als Basis angesehen werden und dann eine >100 W starke Lastspitze, was keine schlechte Idee ist, da man so direkt den maximalen Effekt beobachten dürfte.
5. Kann man die Lastspitze direkt als Wärmestrom zwischen CCD und Oberseite Heatspreader betrachten oder puffert der Heatspreader einiges weg (Konduktion im HS)?
6. Welche Wärmeleitfähigkeit wird für den Übergang vom CCD zur Oberseite Heatspreader angenommen?

Neben Antworten auf diese Fragen (im Startpost) würde ich mir von @Duke711 wünschen, dass der Artikel lesbare Struktur bekommt, also:
Einleitung - Hypothese - ggf. Gegenthese - berichtender Hauptteil - fachlicher Hauptteil - Fazit - Anhänge.

In der aktuellen Form würde ich es nicht länger als Artikel auf der Startseite haben wollen @SV3N.
 
  • Gefällt mir
Reaktionen: Schwabe66, Baal Netbeck, chaopanda und 2 andere
@Duke711 Danke für die vielen Infos, dann steckt ja doch ein detailliertes Modell dahinter. Warum hast du uns das denn nicht gleich im ersten Beitrag verraten? Dann wäre uns Seitenlanges Nachbohren erspart geblieben ;)
Und nein, ich brauch nicht nach deiner Netzauflösung fragen, bevor ich weiß, dass auch CFD drin steckt.

Mir ist nicht klar, wieso ich dir gegenüber Kompetenzen nachweisen sollte, um zu erfahren, wie deine Rechnung aussieht. Ich hätte erwartet, dass du den Leserartikel geschrieben hast, um alle an deiner Arbeit teilhaben zu lassen, ohne dass Leser bei Nachfragen vorher eine Prüfung ablegen oder ihre Publikationsliste vorlegen müssen. Die Qualifikation sollte doch überhaupt keinen Ausschlag geben, ob jemand eine Antwort verdient oder nicht.

Nachdem jetzt eine Reihe von Leuten, die mit sachlichen Nachfragen an deiner Arbeit interessiert waren (nach wie vor sage ich: Coole Analyse!), deine grundlosen ad-hominem-Argumente über sich ergehen lassen mussten, können wir nach deinem Post 63 endlich endlich die für den Artikel interessante Vorgehensweise erfahren, nach der schon in den ersten Antworten gefragt wurde.
Die gibt wenig Anlass zur Kritik, und alles, was du in der Diskussion als solche aufgefasst hast, waren mangels Informationen entstandene Vermutungen. Da du dich vermutlich öfter in dem Bereich bewegst, solltest du einen gewissen Diskurs und Nachfragen bei Unklarheiten doch gewohnt sein, ohne gleich deine Kompetenz angezweifelt zu sehen.

Würde mich über weitere interessante Analysen von dir jedenfalls freuen (da ist im PC-Kühlbereich ne Menge Voodoo unterewgs...), dann aber gern direkt mit allen interessanten Infos im Artikel (z.B. in einem Spoiler "für Eingeweihte", wo du auch keine Rücksicht auf leicht verständlichen Ausdruck nehmen musst).

PS: Y+/- war mir tatsächlich vor allem aus Phasenübergangsprozessen geläufig, das ist eher der Bereich, in dem ich mich bewege. Und gerade weil erzwungene Konduktion nicht mein Fachgebiet ist, habe ich ja nachgefragt, wie du das umgesetzt hast.
 
Zuletzt bearbeitet:
  • Gefällt mir
Reaktionen: Baal Netbeck und chaopanda
Die Bilder sind doch über CB eingebunden, oder @Duke711 ?
Ich bekomme nämlich nur die Namen angezeigt.
Bilder von CB selbst sollte mein pihole natürlich nicht blockieren, dh bin ich verwundert.
Hat sonst noch jemand Probleme?
 
Duke711 schrieb:
Es wurde aber nichts unter den Tisch fallen gelassen.
Du lässt zum Beispiel komplett außer acht, dass die Spitzentemperaturen eventuell nur wenige Millisekunden lang anliegen und maßgeblich davon beeinflusst werden, wie die CPU Takt und Spannung (durchaus in Abhängigkeit von der Kühlerperformance) moduliert. Edit: Außerdem hast du den Fall, dass der angeströmte Teil des Kühlerbodens nicht alle DIEs vollständig überdeckt (was bei AiOs offenbar durchaus üblich ist) auch komplett außer acht gelassen.
Duke711 schrieb:
da die CCD bereits nach 6 Sekunden mit konstanter Last fast die stationäre Temperatur, also die Höchsttemperatur über einen längeren Zeitraum erreicht haben
6 Sekunden sind eine Ewigkeit. Interessant wäre in meinen Augen was in den ersten 100 Millisekunden passiert. Deshalb auch mein Vorschlag zu simulieren wie viel Zeit man bis zum Erreichen kritischer Temperaturen (~ 95 Grad) gewinnt, wenn man den Kühler mittig statt außermittig über dem DIE platziert und das Wasser komplett weglässt.
 
Zuletzt bearbeitet:
0-8-15 User schrieb:
Du lässt zum Beispiel komplett außer acht, dass die Spitzentemperaturen eventuell nur wenige Millisekunden lang anliegen und maßgeblich davon beeinflusst werden, wie die CPU Takt und Spannung (durchaus in Abhängigkeit von der Kühlerperformance) moduliert.

Nein lasse ich nicht außer acht, da ich das Szenario gewählt habe das ich im Idle eine sprunghafte Lastspitze betrachte die auch beim starten jedes CB Benchmark Laufes oder Anwendung stattfindet. Mit dem Unterschied das diese eben konstant bleibt, da ein dynamisches Profil, was ich schon mehrfach ausführlich erläutert habe, keinerlei Mehrwert bietet, da würde die Kurve einen ungleichmäßigen Verlauf annehmen. Die Temperatur ist aber immer von der Leistungsaufnahme der CPU abhängig, darum ist das Ergebnis nach Zeitraum X stets das gleiche.
Und es geht hier ja um Lastspitzen und kein dynamisches Profil mit unbekannter Last. Das ist auch der Grund warum im CB Benchmark Lauf die Temperatur höher ausfällt, da die einzelne Lastspitze dann eben keine 130 W wie in Prime hat, sondern 170 W. Aber man kann auch einfach die Lastspitze erhöhen, der Effekt ist stets der gleiche und diese auch einfach in 70, 100, 130, 160, 200 W etc. staffeln. Es geht ja hier schließlich darum die physikalischen Effekte nachzuvollziehen die stets die gleiche sind.
Ich kann einen einzelnen Transistor betrachten oder ein dichtes Transistorencluster als eine Einheit betrachten, die Physik ändert sich ja hierbei nicht. Stichwort Mikro- und Makro-Kosmos. Man hat höchstens ein paar Unschärferealationen, die oft aber bedeutungslos sind, da kaum zu messen.


0-8-15 User schrieb:
0-8-15 User schrieb:
Außerdem hast du den Fall, dass der angeströmte Teil des Kühlerbodens nicht alle DIEs vollständig überdeckt (was bei AiOs offenbar durchaus üblich ist) auch komplett außer acht gelassen.

Da ich so einen Kühler nicht vorliegen habe, kann ich sowas leider nicht berücksichtigen. Das ist auch nicht die Intention diesen Leserartikel. Im übrigen weist der Anbieter selbst auf diese Tatsache nicht hin, worauf aber die großen Versprechen wohl abzielen.


0-8-15 User schrieb:
6 Sekunden sind eine Ewigkeit. Interessant wäre in meinen Augen was in den ersten 100 Millisekunden passiert. Deshalb auch mein Vorschlag zu simulieren wie viel Zeit man bis zum Erreichen kritischer Temperaturen (~ 95 Grad) gewinnt, wenn man den Kühler mittig statt außermittig über dem DIE platziert und das Wasser komplett weglässt.

Aber genau das wurde doch getan. Der Beobachtunszeitraum erstreckt sich in 0,01 Sekunden Schritten bis zu 6 Sekunden, das zeigt der Plot. Um man sieht ja eindeutig das sich die Temperaturverläufe der beiden Plots unterscheiden.

0,01​
37,64​
0,01​
40,90​
0,02​
42,92​
0,03​
45,36​
0,05​
49,10​
0,09​
52,04​
0,19​
57,15​
0,29​
60,72​
0,39​
63,05​
0,49​
64,76​
0,59​
66,60​
0,69​
67,64​
0,79​
68,43​
0,89​
69,06​
0,94​
69,37​
1,00​
69,65​


noxcivi schrieb:
1. Wieso fängt der erste Satz an als gab es schon eine Seite lang Gespräche? (Ein Leserartikel hat sonst eine Einleitung.)

Ist immer schwierig sich in die Kenntnis der anderen Personen hineinzu versetzen, ich bin davon ausgegangen das die Gespräche noch in Erinnerung waren.


noxcivi schrieb:
3. Was genau wird denn nun betrachtet? Geht es um Lastspitzen, die wenige Sekunden (mMn. < 5s) anhalten wie in einem Spiel oder nicht?

Es ging um die Thematik wie lange dauert es bis eine Lastspitze ab Idle annährend die stationäre Temperatur erreicht hat. Um zu zeigen dass der CB Benchmark Lauf mit seinen 30 - 40 Sekunden zum einen nicht instationär ist, da deutlich > 6 Sekunden und die Wärme durch eine Verschiebung nicht schneller abgeführt werden kann. Weil von dem Anbieter die Aussagekräftigkeit eines Prime abgesprochen wurden, da man damit anscheinend bezüglich einer dezentralen Halterung keine Verbesserung messen könnte. Das ist nicht nur falsch, sondern man kann die Last und die Effekte auch staffeln, wie z.B. + 1,5 K pro 100 W TDP, was auch fachlich richtig wäre.


noxcivi schrieb:
Es scheint mir, als würde zur Vereinfachung idle als Basis angesehen werden und dann eine >100 W starke Lastspitze, was keine schlechte Idee ist, da man so direkt den maximalen Effekt beobachten dürfte.

Richtig das war auch die Intention und das ganze mit unterschiedlichen Lastspitzen von 110, 132 und 168 W als Staffelung. Bei einer dynamischen Last von 70 - 168 W ist der Effekt stets kleiner als bei eine maximalen 168 W Lastspitze. Es sollte auch bewußt übersichtlich gehalten werden. Eine stark schwakende Kurve würde bei einigen Leser eher Verwirrung auslösen, zumal das Endergebnis stets das gleiche wäre.

noxcivi schrieb:
5. Kann man die Lastspitze direkt als Wärmestrom zwischen CCD und Oberseite Heatspreader betrachten oder puffert der Heatspreader einiges weg (Konduktion im HS)?

Der puffert bei 3 mm ein wenig weg. Zumal sind z.B mit nur 2,3 mm die Temperatur beim 3700X z.B um 0,2 K höher. Ich habe dazu mal was in dem Dateianhang zusammengestellt.


noxcivi schrieb:
6. Welche Wärmeleitfähigkeit wird für den Übergang vom CCD zur Oberseite Heatspreader angenommen?


  • Wärmeleitung Silizium Chiplet / 0,82 mm
  • Wärmeleitung Silizium Oxid / 0,016 mm
  • Wärmeleitung sTIM (AL,Indium) / 0,25 mm
  • Wärmeleitung Nickel / 0,018 mm
  • Wärmeleitung HS (E_CU) / 3 mm
  • Wärmeleitung Nickel / 0,018 mm
  • Wärmeleitung WLP / 0,08 mm
  • Wämeleitung Kühler / 1,5 mm
  • Wärmeübergang Fluid

E-CU

°C(W m^-1 C^-1)(kg m^-3)
20​
394​
8920​
100​
385​
8920​



°C(J kg^-1 C^-1)
-23​
374​
25​
385​
77​
393​


Silizium

°C(W m^-1 C^-1)(kg m^-3)
0​
168​
2330​
20​
152​
2330​
40​
140​
2330​
60​
128​
2330​
80​
118​
2330​
100​
108​
2330​


°C(J kg^-1 C^-1)
20​
630​
100​
790​


Nickel

°C(W m^-1 C^-1)(kg m^-3)
-23​
97,5​
8910​
27​
90,7​
8910​
77​
85​
8910​

°C(J kg^-1 C^-1)
20​
444​


Si3N4


°C(W m^-1 C^-1)(kg m^-3)
0​
30​
3170​
100​
25​
3170​


°C(J kg^-1 C^-1)
20​
750​



sTIM

°C(W m^-1 C^-1)(kg m^-3)(J kg^-1 C^-1)
20​
67​
7310​
233​


WLP

°C(W m^-1 C^-1)(kg m^-3)(J kg^-1 C^-1)
20​
8,5​
3710​
1300​


Wasser

°C(W m^-1 C^-1)(kg m^-3)(J kg^-1 C^-1)
20​
0,60​
998,2​
4184​
30​
0,62​
995,6​
4180​
40​
0,63​
992,2​
4179​
50​
0,64​
988,0​
4181​
60​
0,65​
983,2​
4185​
70​
0,66​
977,8​
4190​
80​
0,67​
971,8​
4197​


buddha281 schrieb:
@Duke711 Danke für die vielen Infos, dann steckt ja doch ein detailliertes Modell dahinter. Warum hast du uns das denn nicht gleich im ersten Beitrag verraten? Dann wäre uns Seitenlanges Nachbohren erspart geblieben

Schien für mich nicht relevant, frage ja in der Regel auch nicht die Tester nach ihren Messgeräten, aber fragen kann man natürlich immer.


buddha281 schrieb:
Mir ist nicht klar, wieso ich dir gegenüber Kompetenzen nachweisen sollte, um zu erfahren, wie deine Rechnung aussieht. Ich hätte erwartet, dass du den Leserartikel geschrieben hast, um alle an deiner Arbeit teilhaben zu lassen, ohne dass Leser bei Nachfragen vorher eine Prüfung ablegen oder ihre Publikationsliste vorlegen müssen. Die Qualifikation sollte doch überhaupt keinen Ausschlag geben, ob jemand eine Antwort verdient oder nicht.

Nein sowas verlange ich nicht und jeder kann gerne Fragen stellen, aber dann bitte mit Respekt und nicht solche Formulierungen:

buddha281 schrieb:
Ein Turbulenzmodell mit drin? Bzw. Einfluss gecheckt? Für den Wärmeübergang vom Kühler in's Wasser ist das ja ggf. nicht unwichtig (optimalerweise passt die Prandtl-Zahl)

Ich kann mich nicht daran erinnern dich als mein Mentor zu haben der Kontrollfragen als Erinnerung stellt.
Du hättest aber ganz normal Fragen stellen können wie:

------------------------------------------------
Mich würde interessieren was für ein Turbulenzmodell zum Einsatz kam um warum Du dich dafür entschieden hast, danke schon mal.
-------------------------------------

Der Ton macht die Musik, einfach den nötigen Respekt aufbringen, alles gar kein Problem. Wenn wenn das fachlich falsch sein soll dann z.B.

Begründung X zu Thematik y

und nicht (überspitzt formuliert)

Äh Simulant alles scheiße, das kann sich jeder gerne denken, dann aber bitte vom Thread fernbleiben, das bietet hier keinerlei diskussionswürdigen Mehrwert.


@ Alle

Vielen dank für eure Anregungen. Es immer nicht immer einfach einen Leserartikel für jeden gerecht und richtig zu gestalten. Deswegen einfach sachliche Kritik schreiben und Wünsche bzw. Anregungen äußern, dann kann ich diese Arikel nach und nach auch für vielleicht fast jeden interessierten übersichtlicher gestalten. Sowas ist auch immer mit einer Menge an Arbeit verbunden.
Vielleicht könnt ihr nochmal in kurzen Stichpunkten beschreiben, was ihr gerne noch in der Einleitung bzw. Als Hauptteil sehen möchtet und auf welche Details man vielleicht noch detaillierter eingehen sollte oder ausführlicher beschreiben sollte.

Aber bitte kommt mir nicht wieder mit den dynamischen Last Mythos.
@0-8-15 User wenn was an meiner Argumentation unklar sein sollte, dann kann ich das gerne nochmal ausführlicher, vielleicht auch Anhand eines einfachen Beispieles erklären. Die Plots gibs in 0,02 Sekunden Schritten als Excelformat.
 

Anhänge

  • 3700V1_Dezentral_HS_57lh.jpg
    3700V1_Dezentral_HS_57lh.jpg
    551,3 KB · Aufrufe: 475
  • 3700V1_HS_57lh.jpg
    3700V1_HS_57lh.jpg
    488,1 KB · Aufrufe: 484
  • HS_Temepratur_Verlauf.jpg
    HS_Temepratur_Verlauf.jpg
    207,5 KB · Aufrufe: 473
Zuletzt bearbeitet:
  • Gefällt mir
Reaktionen: noxcivi
Hut ab für dieses Detailniveau. Allerdings: Ich habe 5°-6° maxtemp weniger in cinebench r20 durch Versatz nach Bauer-Anleitung, halte sie daher für sinnvoll.

Mein Kühler ist ein Kryos-Delrin, einmal mittig montiert und dann mit einer selber angefertigten Halterung, um den Versatz zu gewährleisten. Der Kryos bläst mittig ziemlich punktgenau senkrecht auf ein Feld von feinen Pinnen herunter, ich denke das spielt auch eine Rolle.
 
  • Gefällt mir
Reaktionen: Knut Grimsrud
Die letzten beiden Grafiken legen nahe, dass die Temperaturspitze umso höher ausfällt, umso weiter der Hotspot in eine der Ecken wandert. Das entspricht ja auch durchaus der Intuition. Bleibt also eigentlich nur noch die Frage, wie weit man den Kühlerboden verschieben muss, um bei einer Differenz von 7 K zu landen und das Ergebnis dann mit einem typischen AiO Kühlerboden zu vergleichen.
Duke711 schrieb:
Aber bitte kommt mir nicht wieder mit den dynamischen Last Mythos.
Die Abwärme steigt quadratisch mit der Spannung und linear mit dem Takt. Es genügt also schon eine leicht höhere Varianz beim Takt (die auf die Spannung durchschlägt) um die Spitzentemperatur deutlich nach oben zu treiben, und zwar ohne dass sich Benchmark Score und durchschnittliche Abwärme signifikant ändern würde. Wenn also die mittigere Positionierung des Kühlers dazu führt, dass die CPU minimal mehr Zeit hat, um den Takt optimal zu wählen, dann kann sich das in meinen Augen sehr wohl positiv auf die Spitzentemperatur auswirken.
Duke711 schrieb:
wenn was an meiner Argumentation unklar sein sollte
Ich hab keine Zweifel an der Korrektheit der Simulation. Aber ich bezweifel sehr stark, dass sich die Simulation eignet abzubilden, was tatsächlich in der CPU abgeht, wenn Cinebench läuft.
Duke711 schrieb:
Die Plots gibs in 0,02 Sekunden Schritten als Excelformat.
Wo?
 
  • Gefällt mir
Reaktionen: Baal Netbeck
0-8-15 User schrieb:

Na hier, wo denn sonst


0-8-15 User schrieb:
Aber ich bezweifel sehr stark, dass sich die Simulation eignet abzubilden, was tatsächlich in der CPU abgeht, wenn Cinebench läuft.

Also nach den Grunlagen spielt der dynamische Verlauf keine Rolle.

Aber wie können ja folgendes machen, wenn Du überhaupt interesse hast:

Du schließt an den Phasen ein Oszilloskop an und zeichnest die Last bei CB detailliert auf und ich arbeite dieses Profil in die Simulation ein und lasse unterschiedliche Profile in sehr feinen Schritten durchlaufen.
Dann wäre das schon beinahe wissenschaftliches Niveau.
 
Zuletzt bearbeitet:
Duke711 schrieb:
Also nach den Grunlagen spielt der dynamische Verlauf keine Rolle.
Dann gibt es doch eigentlich nur zwei Möglichkeiten:
  • Das Modell ist falsch
  • Alle Tests sind falsch
Eine plausible Erklärung, warum deutlich niedrigere Temperaturen angezeigt werden, würde mir schon genügen. Aber einfach nur zu behaupten es kann nicht sein also ist es nicht, reicht mir nicht.
Duke711 schrieb:
Also nach den Grunlagen spielt der dynamische Verlauf keine Rolle.
Wenn man wie ich annimmt, dass der Verlauf je nach Kühlerposition unterschiedlich ist dann schon, aber das scheint in deinem Gedankenmodell vollkommen ausgeschlossen zu sein.

Nachtrag: Ich versuche nur, eine plausible Erklärung für die Beobachtungen der Besitzer dieser Halterungen herzuleiten, nicht mehr und nicht weniger. Und die Beobachtung ist nun mal, dass die maximale CPU-Temperatur sinkt.
 
Zuletzt bearbeitet:
  • Gefällt mir
Reaktionen: Baal Netbeck
0-8-15 User schrieb:
Dann gibt es doch eigentlich nur zwei Möglichkeiten:
  • Das Modell ist falsch
  • Alle Tests sind falsch
Ich würde jetzt nicht sagen alle Test sind falsch. Und mir ist auch bewusst das sich der eine Anbieter explizit auf den CB Benchmark Lauf eingeschossen hat, weil er sich da eben in der kurzen Momentaufnahme auf die Temperaturangaben bezieht, nur wie zuverlässig ist das überhaupt, man könnte auch fragen, wie sehr glaubt man an eine Zahl?

0-8-15 User schrieb:
Eine plausible Erklärung, warum deutlich niedrigere Temperaturen angezeigt werden, würde mir schon genügen. Aber einfach nur zu behaupten es kann nicht sein also ist es nicht, reicht mir nicht.

Ja zum einen ist natürlich wohl die Lastspitze einfach höher, das gleiche trifft ja auf Prime mit AVX zu.
Umso geringer die Last, was man auch sehr einfach über eine niedrige Spannung und Takt im Selbstversuch herausfinden kann, umso geringer sind die Temperaturen und umso weniger macht sich die dezentrale Halterung in den Temperaturdifferenzen bemerkbar, im Idle wird man ganz sicher keine Verbesserung messen können.
Dann wäre noch der zweite Aspekt die Messtoleranz, die Sensoren haben keine Toleranzen von nur 0,1 K oder weniger. Ob diese nun besser als 1,2 K bei 100 °C sind, ist auch nicht bekannt.
Wenn aber nun beide Effekte zusammen kommen, einmal die höhere Lastspitze und dann vielleicht noch eine Abweichung von 2 K bei gerade mal 70 °C und weniger, kommen halt solche Differenzen zu Prime zu stande.
Muss jeder für sich selbst eintscheiden wie zuverlässig er den CB Benchmark Lauf hält. Die Redaktion von PCGH hat deshalb übrigens noch kein Test veröffentlich, weil man dort am grübeln ist wie man einen aussagekräftigen dynamischen Test umsetzen will, von CB Benchmark Lauf sind diese nicht überzeugt.

Ich weiß auch erlich gar nicht warum man sich auf sowas überhaupt (CB Bench) eingeschossen hat. Früher wurde das alles mit Prime und einen Mittelwert gemacht und das war stets eine zuverlässige und reproduzierbare Messung. Vor allem spiegelt der (CB Bench) auch in keinster weise den Anwendungsalltag wieder. Selbst die Renderszenen haben eine unterschiedliche Auslastung.

Muss jeder selbst für sich entscheiden wie aussagekräfig man einen kurzen CB Benchmark Lauf mit einer kurzen Momentaufnahme der CCD Temperatur als Messausschlag hält.
Ich halte das alles andere als aussagekräftig, da es auch gegen die Grundregeln der Messtechnik verstößt und das für mich eher ein Glaube an Zahlen ist.
 
Zuletzt bearbeitet:
Duke711 schrieb:
Vor allem spiegelt der (CB Bench) auch in keinster weiser den Anwendungsalltag wieder.
Das würde ich so nicht stehen lassen. Cinebench ist in meinen Augen deutlich näher an Alltagsszenarien dran als Prime. Eine konstant hohe Dauerlast, wie Prime sie erzeugt, stellt im Alltag die absolute Ausnahme dar.
 
Tja dann villeicht Doch mal ein Oszilloskop an den Phasen anschließen und der Ursache auf den Grund gehen und vielleicht mal AMD Fragen ob die was genauers zu der Messtoleranz wissen und preisgeben, bzw. sagen können wie der Sensor aufgebaut ist, damit man diesen nachbauen kann (größerer Maßstab) um die Messtoleranzen zu ermitteln. Dann würde ich hier noch mal einen Lauf von ca. 2 Monaten mit diesen Profil machen.
 
0-8-15 User schrieb:
Das würde ich so nicht stehen lassen. Cinebench ist in meinen Augen deutlich näher an Alltagsszenarien dran als Prime. Eine konstant hohe Dauerlast, wie Prime sie erzeugt, stellt im Alltag die absolute Ausnahme dar.
Erzeugen nicht beide eine konstante Dauerlast? Wenn ich cb multi laufen lasse, schwankt die temp während des Tests um keine 0.5 Grad. Ist diese Konstanz nicht ein guter Indikator für gleichmäßige Last?

@Duke711
Hälst du meine Ergebnisse für nicht aussagekräftig, wie ich sie weiter oben gepostet habe? Ist zwar nur Praxis, aber hey, darum gehts doch letztlich.
 
Wäre es so ein großer Aufwand die Simulation (mit dem 3700X und 57 l/h) mit einem deutlich stärker verschobenen Kühler zu wiederholen? Bei den bisherigen Tests wurde das Maximum der Temperaturdifferenz (verschoben vs. mittig) schon nach ca. 500 ms erreicht.

Nach allem was wir bisher gesehen haben geht die Temperaturdifferenz (selbst in der Simulation) locker in Richtung 5 K wenn man den DIE nur zu einem Teil mit dem angeströmten Bereich des Kühlerbodens überdeckt.
 
Status
Für weitere Antworten geschlossen.
Lian Li O11 Vision-M
Zurück
Oben